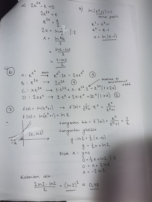
Kertaustehtäviä Jaa Kertaustehtäviä ja niiden ratkaisut MA8kertaustehtäviä.docx 1.2.2021 Abitissa olleiden kertaustehtävien ratkaisut maa8-harkkakoe-ratkaisut.pdf