5. Polymeerit ja biomolekyylit
Aminohapot ja proteiinit
1. Aminohapot
- sisältävät kaksi funktionaalista ryhmää; aminoryhmän -NH2 ja karboksyyliryhmän -COOH, jotka ovat liittyneet samaan hiiliatomiin

- Yksinkertaisin aminohappon on glysiini

- Glysiiniä lukuunottamatta aminohapot ovat optisesti aktiivisia eli niillä esiintyy peilikuvaisomeriaa
- Aminohapot ovat valkuaisaineiden eli proteiinien rakenneosia
Aminohappojen ominaisuuksia
1. Kahtaisioni
- karboksyyliryhmän vety siirtyy aminoryhmälle
-
- aminohapot liukenevat hyvin veteen, koska muodostavat vesimolekyylien kanssa vetysidoksia
2. Amfolyytti
3. Peptidisidos
- syntyy, kun aminohapot reagoivat keskenään
- aminohapon karboksyyliryhmä -COOH reagoi toisen aminohapon aminoryhmän -NH2 kanssa, jolloin lohkeaa vettä (kondensaatio)

2. Proteiinit eli valkuaisaineet
- kaksi aminohappoa muodostavat dipeptidin ja dipeptidiketjut liittyvät polypeptidiksi
- Kun on n kpl polypeptidejä syntyy valkuaisaine
- Proteiinien paptidiketjuissa on kymmeniä aminohappoja
- Proteiinien rakenne
- Primäärirakenne
- määräytyy aminohappojen lukumäärän ja järjestyksen perusteella
- Sekundäärirakenne
- Polypeptidiketjut kiertyvät spiraaleiksi
- Tertiäärirakenne
- Spiraalit asettuvat sykkyrälle, pallomaiseksi ryhmäksi
- Kvaternäärirakenne
- Polypeptidiketjut liittyvät toisiinsa punokseksi

- Erityyppiset sidokset, kuten vetysidokset (dispersiovoimat) pitävät sek, tert ja kvatern rakenteet kassassa.
- Proteiineilla on erityyppisiä tehtäviä
- Ruoansulatuksessa proteiinien prim rakenne hajoaa, jolloin proteiini purkautuu peptidiketjuiksi ja hydrolysoituu aminohapoiksi
- Primäärirakenne
Sinulla ei ole tarvittavia oikeuksia lähettää mitään.
Hiilihydraatit
1. Monosakkaridit
- Aldehydejä tai ketoneita, joissa on useita -OH -ryhmiä
- Tärkeimmät luonnon monosakkaridit ovat heksoosit (6 C-atomia) ja pentoosit (5 C-atomia)
2. Disakkaridit
- Tärkein on ruokosokeri eli sakkaroosi, joka syntyy glukoosista ja fruktoosista kondensaatioreaktiossa
- Maltoosi eli mallassokeri syntyy kahdesta glukoosimolekyylistä
- Laktoosi muodostuu glukoosista ja galakoosista
- hajoaa laktaasientsyymin vaikutuksesta
3. Polysakkaridit
- Tärkkelys ja selluloosa, joissa tuhansia glukoosiyksiköitä on liittynyt happisilloilla toisiinsa
- tärkkelysmolekyyli on kierteinen
- selluloosamolekyyli on suoraketjuinen
Sinulla ei ole tarvittavia oikeuksia lähettää mitään.
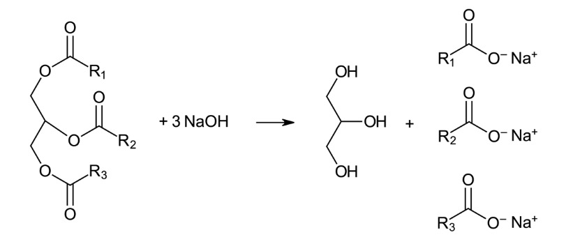
Rasvat
- Glyseroli ja pitkäketjuiset karboksyylihapot eli rasvahapot muodostavat estereitä, joita kutsutaan triglyserideiksi
- Rasvoissa kaikki glyserolin -OH -ryhmät ovat esteröityneet ja muodostavat triglyseridin, rasvan
- Tyydyttymättömät rasvat, yleensä kasvirasvat ovat nestemäisiä, sisältävät hiiliatomien välisiä kaksoissidoksia (pitkäketjuisissa hiilivetyradikaaleissa R1, R2 ja R3)
- Tyydyttyneet rasvat, eliökunnan kasvirasvat, ovat taas kiinteitä
- Rasva on tärkeä ravintoaine energian saannin takia ja siksi, että ruoansulatuksen esterihydrolyysissä rasvoista purkautuu rasvahappoja
- osa on sellaisia, joita elimistö ei pysty muodostamaan
- tarvitaan mm hormonien valmistukseen, kuten tyydyttymättömät linoli- ja linoleenihappo
Saippuan valmistaminen
- rasvoja, triglyseridejä käytetään saippuan valmistuksessa
- rasvamolekyyli reagoi emäksisissä olosuhteissa esim natriumhydroksidin (emäs) kanssa, jolloin rasvamolekyyli hajoaa glyseroliksi ja karboksyylihapon natrimusuolaksi
- rasva glyseroli saippua
- saippuan pitkäketjuinen hiilivetyradikaali on pooliton ja karboksyyliryhmän -COO-Na+ muodostaa vesimolekyylin kanssa dipoli-ioni -sidoksia ja vetysidoksia
Sinulla ei ole tarvittavia oikeuksia lähettää mitään.






