Paraabelit Jaa Tehtävä 1 Tarkastele yllä olevia funktioiden kuvaajia. Havaitset, että niistä kaikista muodostuu ylös- tai alaspäin aukeava "kulho", jota kutsutaan PARAABELIKSI. Mitä yhteistä on funktioiden lausekkeilla? Niissä kaikissa on termi, joka sisältää muuttujaosan x potenssiin . Tällaisia fuktioita, joiden termien suurin aste (eli x:n suurin eksponentti) on 2, kutsutaan ? asteen funktioiksi. Roskapostituksen esto Valitse mikä tahansa numero, joka on suurempi kuin 2. Valitsemasi numero: Valitsemasi numero uudelleen: Palauta Funktioita Tehtävä 2 Kirjaudu sisään lähettääksesi tämän lomakkeen Mitkä yllä olevista funktioista ovat toisen asteen funktioita eli missä funktiossa x:n suurin eksponentti on 2? Rastita oikea/oikeat vaihtoehdot. f g h k m Kirjaudu sisään lähettääksesi tämän lomakkeen Kuvaajan tulkintaa Tehtävä 3 Kirjaudu sisään lähettääksesi tämän lomakkeen Tarkastele yllä olevaa funktion f kuvaajaa. a) Mikä on funktion f arvo, kun x = 1? b) Mikä on funktion f arvo, kun x = -2? f(-2) = c) f(2,5) = (suunnilleen) d) f(0) = e) Millä muuttujan x arvolla funtio saa arvon 0? x = tai x = f) Millä muuttujan x arvolla funktio saa arvon 4, eli mikä x on, kun f(x)=4? x = g) Kun f(x)= 3, x = tai x = . h) Mikä on funktion f suurin arvo (funktion arvo katsotaan y-akselilta!) i) Mitkä ovat paraabelin huipun koordinaatit? (, ) j) Nollakohta tarkoittaa sitä kohtaa, jossa funktion kuvaaja leikkaa/hipaisee -akselia. Mitkä ovat funktion f nollakohdat? ja Kirjaudu sisään lähettääksesi tämän lomakkeen Paraabelin yhtälö Tehtävä 4 Kirjaudu sisään lähettääksesi tämän lomakkeen Muuttele ylläolevan paraabelin yhtälöä liukusäätimistä. a) Miten kertoimen a (punainen liukusäädin) muuttaminen vaikuttaa paraabelin kuvaajaan? Kuvaajan paikka muuttuu pystysuunnassa. Kuvaajan paikka muuttuu vaakasuunnassa. Kuvaajan leveys/kapeus muuttuu. Paraabelin suunta muuttuu (aukeaa ylös/aukeaa alas). b) Miten kertoimen a (punainen liukusäädin) etumerkin muuttaminen vaikuttaa paraabelin kuvaajaan? Kuvaajan paikka muuttuu pystysuunnassa. Kuvaajan paikka muuttuu vaakasuunnassa. Kuvaajan leveys/kapeus muuttuu. Paraabelin suunta muuttuu (aukeaa ylös/aukeaa alas). c) Paraabeli aukeaa alaspäin ("kupumuoto"), kun kerroin a (punainen) on positiivinen negatiivinen. d) Paraabeli aukeaa ylöspäin ("kulhomuoto"), kun kerroin a (punainen) on positiivinen negatiivinen. e) Millainen kuvaajasta tulee, jos kerroin a on nolla? . f) Miten kertoimen b (sininen liukusäädin) muuttaminen vaikuttaa paraabelin kuvaajaan? Kuvaajan paikka muuttuu pystysuunnassa. Kuvaajan paikka muuttuu vaakasuunnassa. Kuvaajan leveys/kapeus muuttuu. Paraabelin suunta muuttuu (aukeaa ylös/aukeaa alas). g) Miten vakiotermin c (keltainen liukusäädin) muuttaminen vaikuttaa paraabelin kuvaajaan? Kuvaajan paikka muuttuu pystysuunnassa. Kuvaajan paikka muuttuu vaakasuunnassa. Kuvaajan leveys/kapeus muuttuu. Paraabelin suunta muuttuu (aukeaa ylös/aukeaa alas). h) Mikä kerroin paraabelin yhtälössä paljastaa, missä kohdassa paraabelin kuvaaja leikkaa y-akselin? a (punainen) b (sininen) c (keltainen) Kirjaudu sisään lähettääksesi tämän lomakkeen
Tehtävä 1 Tarkastele yllä olevia funktioiden kuvaajia. Havaitset, että niistä kaikista muodostuu ylös- tai alaspäin aukeava "kulho", jota kutsutaan PARAABELIKSI. Mitä yhteistä on funktioiden lausekkeilla? Niissä kaikissa on termi, joka sisältää muuttujaosan x potenssiin . Tällaisia fuktioita, joiden termien suurin aste (eli x:n suurin eksponentti) on 2, kutsutaan ? asteen funktioiksi. Roskapostituksen esto Valitse mikä tahansa numero, joka on suurempi kuin 2. Valitsemasi numero: Valitsemasi numero uudelleen: Palauta
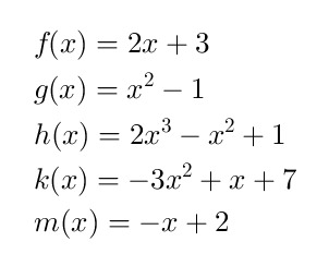
Tehtävä 2 Kirjaudu sisään lähettääksesi tämän lomakkeen Mitkä yllä olevista funktioista ovat toisen asteen funktioita eli missä funktiossa x:n suurin eksponentti on 2? Rastita oikea/oikeat vaihtoehdot. f g h k m Kirjaudu sisään lähettääksesi tämän lomakkeen
Tehtävä 3 Kirjaudu sisään lähettääksesi tämän lomakkeen Tarkastele yllä olevaa funktion f kuvaajaa. a) Mikä on funktion f arvo, kun x = 1? b) Mikä on funktion f arvo, kun x = -2? f(-2) = c) f(2,5) = (suunnilleen) d) f(0) = e) Millä muuttujan x arvolla funtio saa arvon 0? x = tai x = f) Millä muuttujan x arvolla funktio saa arvon 4, eli mikä x on, kun f(x)=4? x = g) Kun f(x)= 3, x = tai x = . h) Mikä on funktion f suurin arvo (funktion arvo katsotaan y-akselilta!) i) Mitkä ovat paraabelin huipun koordinaatit? (, ) j) Nollakohta tarkoittaa sitä kohtaa, jossa funktion kuvaaja leikkaa/hipaisee -akselia. Mitkä ovat funktion f nollakohdat? ja Kirjaudu sisään lähettääksesi tämän lomakkeen
Tehtävä 4 Kirjaudu sisään lähettääksesi tämän lomakkeen Muuttele ylläolevan paraabelin yhtälöä liukusäätimistä. a) Miten kertoimen a (punainen liukusäädin) muuttaminen vaikuttaa paraabelin kuvaajaan? Kuvaajan paikka muuttuu pystysuunnassa. Kuvaajan paikka muuttuu vaakasuunnassa. Kuvaajan leveys/kapeus muuttuu. Paraabelin suunta muuttuu (aukeaa ylös/aukeaa alas). b) Miten kertoimen a (punainen liukusäädin) etumerkin muuttaminen vaikuttaa paraabelin kuvaajaan? Kuvaajan paikka muuttuu pystysuunnassa. Kuvaajan paikka muuttuu vaakasuunnassa. Kuvaajan leveys/kapeus muuttuu. Paraabelin suunta muuttuu (aukeaa ylös/aukeaa alas). c) Paraabeli aukeaa alaspäin ("kupumuoto"), kun kerroin a (punainen) on positiivinen negatiivinen. d) Paraabeli aukeaa ylöspäin ("kulhomuoto"), kun kerroin a (punainen) on positiivinen negatiivinen. e) Millainen kuvaajasta tulee, jos kerroin a on nolla? . f) Miten kertoimen b (sininen liukusäädin) muuttaminen vaikuttaa paraabelin kuvaajaan? Kuvaajan paikka muuttuu pystysuunnassa. Kuvaajan paikka muuttuu vaakasuunnassa. Kuvaajan leveys/kapeus muuttuu. Paraabelin suunta muuttuu (aukeaa ylös/aukeaa alas). g) Miten vakiotermin c (keltainen liukusäädin) muuttaminen vaikuttaa paraabelin kuvaajaan? Kuvaajan paikka muuttuu pystysuunnassa. Kuvaajan paikka muuttuu vaakasuunnassa. Kuvaajan leveys/kapeus muuttuu. Paraabelin suunta muuttuu (aukeaa ylös/aukeaa alas). h) Mikä kerroin paraabelin yhtälössä paljastaa, missä kohdassa paraabelin kuvaaja leikkaa y-akselin? a (punainen) b (sininen) c (keltainen) Kirjaudu sisään lähettääksesi tämän lomakkeen