Algebra
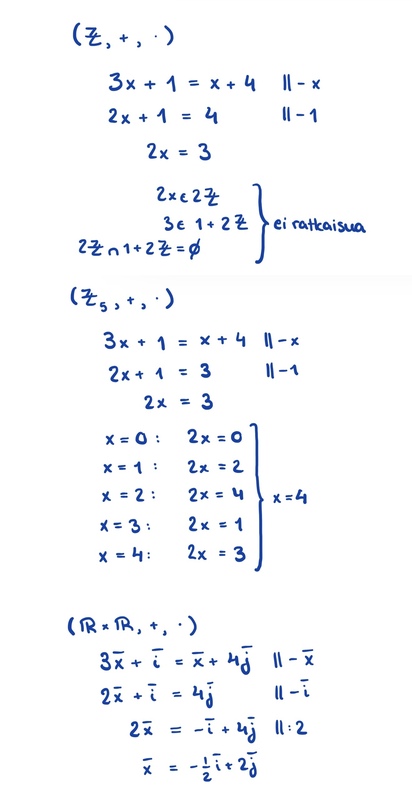
Ryhmäteorian aksioomat
- Jos [[$a,b\in G$]], niin [[$a\circ b \in G$]].
- Jos [[$a,b,c\in G$]], niin [[$a\circ(b\circ c)=(a\circ b)\circ c$]].
- On olemassa sellainen [[$e\in G$]], että jos [[$a\in G$]], niin [[$a\circ e = e\circ a = a$]].
- Jos [[$a\in G$]], niin on olemassa sellainen [[$a^{-1}\in G$]], että [[$a\circ a^{-1}=a^{-1}\circ a = e$]].
Potenssilausekkeiden algebra
Lause
Olkoon [[$k\in\mathbb{R}_+$]], ja olkoot
[[$$G_k = \{k^x\ |\ x\in\mathbb{R}\}.$$]]
Tällöin [[$\ (G_k,\cdot)$]] on ryhmä, jonka on määritelmänsä nojalla isomorfinen ryhmän [[$\ (\mathbb{R},+)$]] kanssa.
Todistus
Olkoon [[$f:G_k\rightarrow\mathbb{R},\ f(x)=\log_k x$]]. Tällöin [[$f(x \cdot y)=f(x) + f(y)$]], [[$f(k^0)=f(1)=\log_k 1 = 0 = f(0)$]] ja [[$f(k^{-x})=-x=-f(x)$]], joten [[$f$]] on homomorfismi. Lisäksi [[$f$]] on [[$k$]]-kantaisena logaritmina bijektiivinen. Väite seuraa, m.o.t.
Seuraus
Potenssi on toistettua kertolaskua siinä, missä kertolasku on toistettua yhteenlaskua. Kertolaskun ja yhteenlaskun välisen yhteyden voi siis yleistää koskemaan potenssin ja kertolaskun välistä yhteyttä.
Polynomin määrittely
[[$$\mathbb{R}[X]=\left\{p_0+p_1X+p_2X^2+...+p_iX^i\ |\ p_0,...,p_i\in\mathbb{R}\right\}$$]]
Olkoot
[[$$P(X)=p_0+p_1X+p_2X^2+...+p_iX^i$$]]
ja
[[$$Q(X)=q_0+q_1X+q_2X^2+...+q_jX^j$$]]
polynomeja, ja oletetaan, että [[$i\leq j$]]. Tällöin määritellään summapolynomiksi [[$\ (P+Q)(X)$]] polynomi
[[$$(P+Q)(X)=(p_0+q_0)+(p_1+q_1)X+...+(p_i+q_i)X^i+q_{i+1}X^{i+1}+...+q_jX^j$$]]
ja tulopolynomiksi [[$\ (PQ)(X)$]] polynomi
[[$$(PQ)(X)=p_0q_0+(p_0q_1+p_1q_0)X+(p_0q_2+p_1q_1+p_2q_0)X^2...+p_iq_jX^{i+j}.$$]]
Lause. Struktuuri [[$\ \left(\mathbb{R}[X],+,\cdot\right)$]] on kokonaisalue.
Perusopetuksen opetussuunnitelman perusteissa
Tavoitealue T14 ohjata oppilasta ymmärtämään tuntemattoman käsite ja kehittämään yhtälönratkaisutaitojaan
Tavoitteista johdetut oppimisen tavoitteet
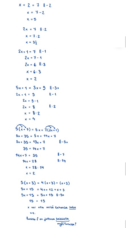
Oppilas ymmärtää tuntemattoman ja lausekkeen käsitteet sekä ratkaisee ensimmäisen asteen ja vaillinaisen toisen asteen yhtälöitä päättelemällä ja symbolisesti.
Sisältöalueet
Perehdytään muuttujan käsitteeseen ja lausekkeen arvon laskemiseen. Harjoitellaan potenssilausekkeiden sieventämistä. Tutustutaan polynomin käsitteeseen ja harjoitellaan polynomien yhteen-, vähennys- ja kertolaskua. Harjoitellaan muodostamaan lausekkeita ja sieventämään niitä. Muodostetaan ja ratkaistaan ensimmäisen asteen yhtälöitä ja vaillinaisia toisen asteen yhtälöitä. Ratkaistaan yhtälöpareja graafisesti ja algebrallisesti. Tutustutaan ensimmäisen asteen epäyhtälöihin ja ratkaistaan niitä. Syvennetään oppilaiden taitoa tutkia ja muodostaa lukujonoja. Käytetään verrantoa tehtävien ratkaisussa.
Kuvataan riippuvuuksia sekä graafisesti että algebrallisesti. Tutustutaan suoraan ja kääntäen verrannollisuuteen. Perehdytään funktion käsitteeseen. Piirretään suoria ja paraabeleja koordinaatistoon. Opitaan suoran kulmakertoimen ja vakiotermin käsitteet. Tulkitaan kuvaajia esimerkiksi tutkimalla funktion kasvamista ja vähenemistä. Määritetään funktioiden nollakohtia.
Laaja-alaisen osaamisen alueet
Arvioinnin kohde
Tuntemattoman käsite ja yhtälönratkaisutaitoMatematiikan päättöarvioinnin kriteerit oppimäärän päättyessä
|
Arvosana
|
Osaamisen kuvaus
|
|---|---|
| Osaamisen kuvaus arvosanalle 5 | Oppilas yhdistää samanmuotoisia termejä. Oppilas ratkaisee ohjattuna ensimmäisen asteen yhtälöitä ja päättelee ohjattuna vaillinaisen toisen asteen yhtälön jonkin ratkaisun. |
| Osaamisen kuvaus arvosanalle 7 | Oppilas sieventää lausekkeita. Oppilas ymmärtää yhtäsuuruuden säilymisen ja ratkaisee ensimmäisen asteen yhtälön symbolisesti ja vaillinaisen toisen asteen yhtälön joko päättelemällä tai symbolisesti. |
| Osaamisen kuvaus arvosanalle 8 | Oppilas ymmärtää yhtäsuuruuden käsitteen ja ratkaisee vaillinaisen toisen asteen yhtälön symbolisesti. |
| Osaamisen kuvaus arvosanalle 9 | Oppilas käyttää sujuvasti tuntematonta yhtälön muodostami |
Tavoitealue T15 ohjata oppilasta ymmärtämään muuttujan käsite ja tutustuttaa funktion käsitteeseen; ohjata oppilasta harjoittelemaan funktion kuvaajan tulkitsemista ja tuottamista
Tavoitteista johdetut oppimisen tavoitteet
Oppilas laajentaa käsitystään muuttujista kahden muuttujan yhtälöihin ja piirtää ensimmäisen ja toisen asteen funktion kuvaajia. Oppilas tekee päätelmiä funktion ja sen kuvaajan välisestä yhteydestä.
Sisältöalueet
Kuvataan riippuvuuksia sekä graafisesti että algebrallisesti. Tutustutaan suoraan ja kääntäen verrannollisuuteen. Perehdytään funktion käsitteeseen. Piirretään suoria ja paraabeleja koordinaatistoon. Opitaan suoran kulmakertoimen ja vakiotermin käsitteet. Tulkitaan kuvaajia esimerkiksi tutkimalla funktion kasvamista ja vähenemistä. Määritetään funktioiden nollakohtia.
Laaja-alaisen osaamisen alueet
Arvioinnin kohde
Muuttujan ja funktion käsitteet sekä kuvaajien tulkitseminen ja tuottaminenMatematiikan päättöarvioinnin kriteerit oppimäärän päättyessä
|
Arvosana
|
Osaamisen kuvaus
|
|---|---|
| Osaamisen kuvaus arvosanalle 5 | Oppilas laskee lausekkeen arvon ja lukee leikkauspisteiden koordinaatteja. Oppilas tunnistaa nousevan ja laskevan suoran yhtälöstä. Oppilas piirtää ohjattuna ensimmäisen asteen funktion kuvaajan koordinaatistoon. |
| Osaamisen kuvaus arvosanalle 7 | Oppilas sijoittaa muuttujan paikalle lukuarvoja ja saatuja pisteitä koordinaatistoon. Oppilas piirtää ensimmäisen asteen funktion kuvaajan ja ratkaisee ohjattuna yhtälöparin graafisesti tai algebrallisesti. |
| Osaamisen kuvaus arvosanalle 8 | Oppilas ymmärtää muuttujan ja funktion käsitteet sekä osaa piirtää funktion kuvaajia. Oppilas ratkaisee annetun yhtälöparin graafisesti ja algebrallisesti. |
| Osaamisen kuvaus arvosanalle 9 | Oppilas käyttää yhtälöparia ongelmanratkaisussa ja ymmärtää yhtälönratkaisun geometrisen merkityksen. Oppilas osaa tulkita kuvaajia monipuolisesti. |







