Peda.net
Kirjaudu
Rekisteröidy
Koulumatematiikka MFK-M207 (5 op) – Etäluennot
Peda.net
>
Käyttäjät
>
Janne Rytkönen
>
Koulumatematiikka MFK-M207 (5 op) – Etäluennot
>
Etäluentojen materiaali
>
Perusopetuksen matematiikan sisältöalueet
>
Algebra
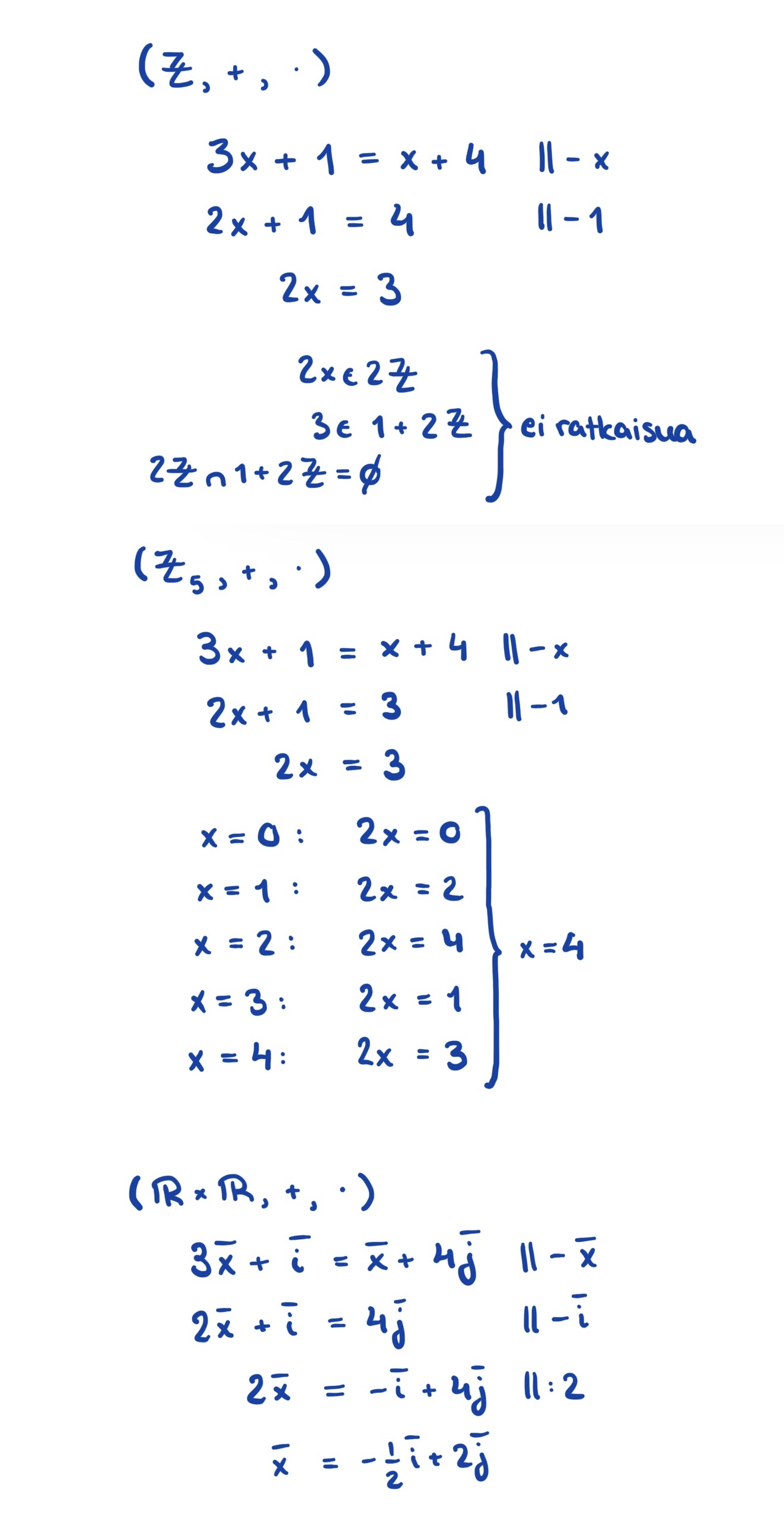
>
Image.jpeg
Image.jpeg
Jaa
Sulje
Tämän kuvan tekstivastine: (tyhjä tekstivastine)
Image.jpeg 262.2 kt
Koulumatematiikka MFK-M207 (5 op) – Etäluennot
Etäluentojen materiaali
Koulumatematiikkaa ohjaavat asiakirjat
Perusopetuksen matematiikan sisältöalueet
Luvut ja laskutoimitukset
Prosenttilaskenta
Algebra
Geometria
Oppilaan tuki perusopetuksessa
Lukion matematiikan moduulit
Palautettavat tehtävät