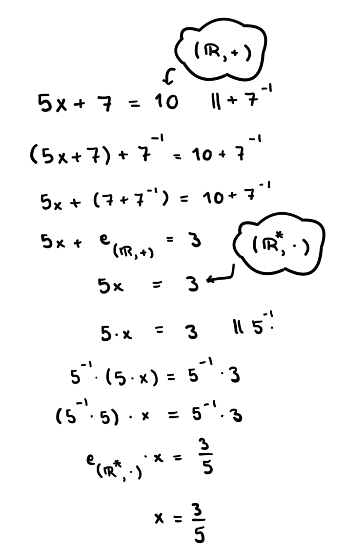
Yhtälönratkaisu ryhmissä Jaa Sulje Tämän kuvan tekstivastine: (tyhjä tekstivastine) IMG_0312.jpeg 123.2 kt