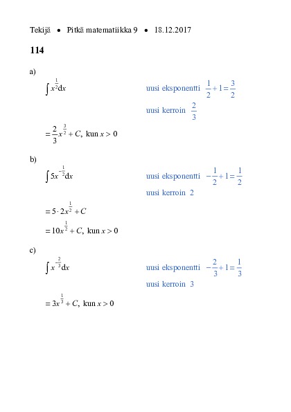
MAA9_Luku_4_OK_korj_120218.pdf Jaa Sulje Tekijä: Tuomas Särkijärvi Tämän tiedoston tekstivastine: (tyhjä tekstivastine) MAA9_Luku_4_OK_korj_120218.pdf 1.2 Mt