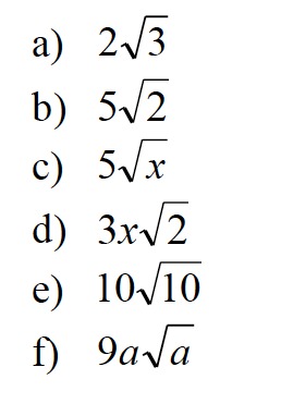
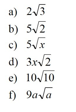
Exercise 9.15 Jaa Sulje Tämän kuvan tekstivastine: (tyhjä tekstivastine) Skärmavbild 2018-11-01 kl. 17.36.56.jpg 22.2 kt