Peda.net
Kirjaudu
Rekisteröidy
Math 9
Peda.net
>
Qatar-Finland International School
>
2022-2023
>
Mathematics
>
Math 9
>
Part II: Trigonometry and geometry
>
13. Polyhedrons
>
Images
Images
Jaa
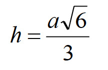
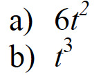
Images for the exercises
Katselutila
0 kommenttia
Math 9
Part I: Expressions and functions
Part II: Trigonometry and geometry
1. A review of the use of the compass
2. Polygons
3. Tangent
4. Sine and cosine
5. The Pythagorean theorem and memory triangles*
6. Trigonometric area formulas *
7. Classifying and drawing objects
8. Areas of different objects
9. Units of volume
10. Cylinder volume
11. Cone volume
12. Sphere
13. Polyhedrons
Images
14. Objects and planar intersections
15. Areas and volumes of similar objects
16. Density*
17. Symmetry
18. Geometric proofs*
19. Revision
Preliminary test
Part III: Revision and applications
Tables and formulas