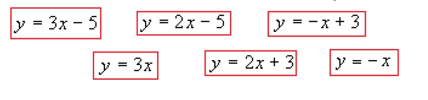
2/07 Exercise 7.03 Jaa Sulje Kirjaudu sisään lähettääksesi tämän lomakkeen Which of the following lines are parallel to each other? Answer: The lines [[$ y = $]] and [[$ y = $]] are parallel to each other. The lines [[$ y = $]] and [[$ y = $]] are parallel to each other. The lines [[$ y = $]] and [[$ y = $]] are parallel to each other. Kirjaudu sisään lähettääksesi tämän lomakkeen