Peda.net
Kirjaudu
Rekisteröidy
Math 9
Peda.net
>
Qatar-Finland International School
>
2022-2023
>
Mathematics
>
Math 9
>
Part III: Revision and applications
>
9. Dividing a monomial by a monomial*
>
Images
>
Images for the exercises
>
Katselutila
Katselutila
Sulje
Math 9
Part I: Expressions and functions
Part II: Trigonometry and geometry
Part III: Revision and applications
1. Decimal numbers
2. Dividing into factors
3. Polynomials
4. Representing a polynomial as a product
5. Quadratic polynomial functions
6. Incomplete quadratic equations I
7. Incomplete quadratic equations II
8. Rational expressions*
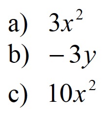
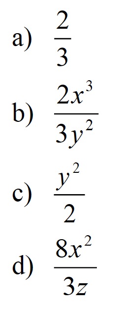
9. Dividing a monomial by a monomial*
Images
10. Dividing a polynomial by a monomial and a polynomial*
11. Solving rational and proportional equations
12. Direct and inverse proportionality
13. Powers and roots
Tables and formulas