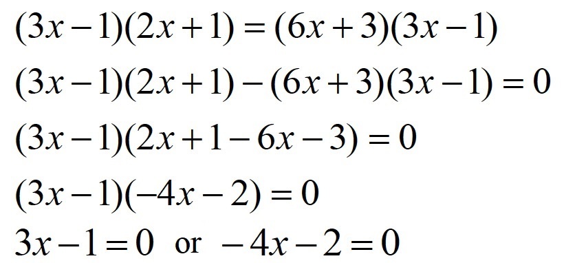
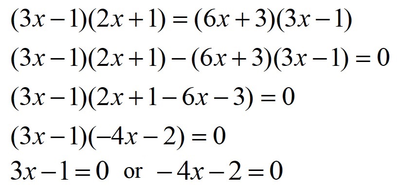
Exercise 7.19: Solution Jaa Sulje Tämän kuvan tekstivastine: (tyhjä tekstivastine) Skärmavbild 2018-12-28 kl. 21.02.08.jpg 71.1 kt Kommentit Kirjaudu sisään lisätäksesi tähän kommentin
Kommentit
Kirjaudu sisään lisätäksesi tähän kommentin