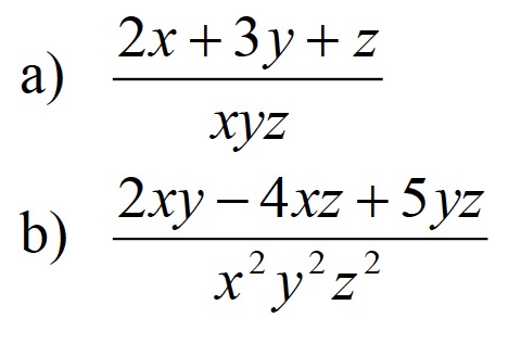
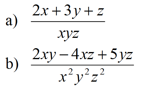
Exercise 10.20: Solution Jaa Sulje Tämän kuvan tekstivastine: (tyhjä tekstivastine) Skärmavbild 2019-01-02 kl. 21.43.28.png 20.3 kt Kommentit Kirjaudu sisään lisätäksesi tähän kommentin
Kommentit
Kirjaudu sisään lisätäksesi tähän kommentin