mab9
Liikenteeseen liittyvät tehtävät
tehtävä 27
Alpon summa =
Alpon summa =
Sannan summa =
Paulin summa=
tehtävä 304
A,

C,

tehtävä 511

vastaus: 21 710km jälkeen toimitnavarmuus on alle 95%
tehtävä 520
a,

b,

vastaus 766

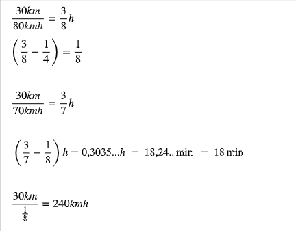
tehtävä 79

tehtävä 81

tehtävä 304
A,


C,

tehtävä 511

vastaus: 21 710km jälkeen toimitnavarmuus on alle 95%
tehtävä 520
a,

b,

vastaus 766
0 kommenttia
teht. 1,2,3,4,5,6,7
1.
a.

2.
a.
%7D%7D%5Cfrac%7B10%7D%7B15%7D%2B%5E%7B%5Ctext%7B3)%7D%7D%5Cfrac%7B12%7D%7B15%7D)

d.
3.
a.

a.
b.%3D-2)
c.
d.
2.
a.
b.
c.
3.
a.
b.
c,
4,
A, 2
B, 4
C, 3
D, 5
E, 1
5,
A, 2
B, 4
C, 3
D, 5
E, 1
5,