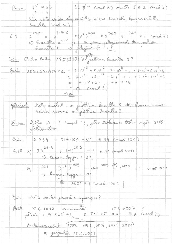
Lujennot 2025