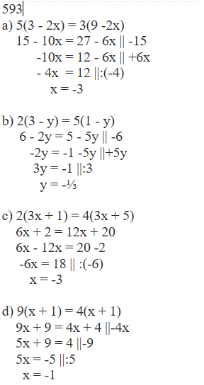
Jakaminen Sulje MA4 593.GIF Pysyvä osoite https://peda.net/id/e8ced6da6ed Pysyvä tiedoston latausosoite https://peda.net/id/e8ced6da6ed:file/download/46866c5ef46dfb8999485335603b20e115a75566/MA4%20593.GIF Jakaminen muihin palveluihin Share this page to Facebook QR-koodi