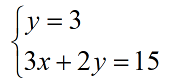
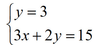
Exercise 11.20: Solution Jaa Sulje Tämän kuvan tekstivastine: (tyhjä tekstivastine) Skärmavbild 2018-12-01 kl. 21.50.04.png 10.4 kt Kommentit Kirjaudu sisään lisätäksesi tähän kommentin
Kommentit
Kirjaudu sisään lisätäksesi tähän kommentin