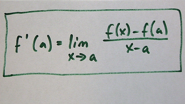
derivaatan_määritelmä.jpg Jaa Sulje Tämän tiedoston tekstivastine: (tyhjä tekstivastine) derivaatan_määritelmä.jpg 174.7 kt