Aihe 5: Derivaatan määritelmä ja derivointikaavat
Pyramidi 7, luku6
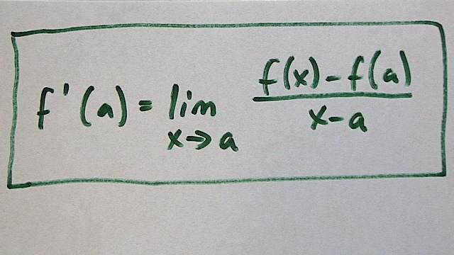
Derivaatta tarkoittaa geometrisesti vain kuvaajalle tiettyyn kohtaan piirretyn tangenttisuoran kulmakerrointa. Matemaattisesti se määritellään erotusosamäärän raja-arvona. Erotusosamäärä on siis lauseke (f(x)-f(a))/(x-a) ja sen raja-arvoa eli derivaattaa pisteessä x = a merkitään f'(a):

Derivaatta on siis myös funktio; eri funktio kuin alkuperäinen f(x) mutta liittyy siihen joten nimi on muuten sama mutta heittomerkillä varustettuna.
t. Pete

Derivaatta on siis myös funktio; eri funktio kuin alkuperäinen f(x) mutta liittyy siihen joten nimi on muuten sama mutta heittomerkillä varustettuna.
t. Pete
Linkkejä
- opetus.tv: Derivaatan määritelmä, katso tästä vain kohta "1. Derivaatta kohdassa
"
- opetus.tv: Derivaatta raja-arvon avulla
Derivaatan matem. määritelmä:
Derivointikaavat:
Teht. 617:
Teht. 624:
Teht. 630: