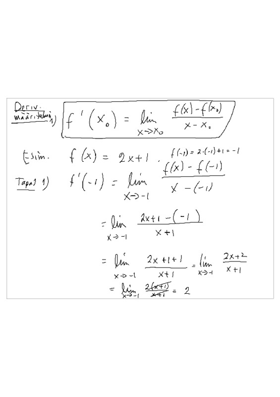
Luku 6.1. Derivaatan määritelmä ja teht. 605 Jaa Sulje Tekijä: Petri Luoma 9.10.2014 Tämän tiedoston tekstivastine: (tyhjä tekstivastine) derivaatan määritelmä.pdf 626.2 kt