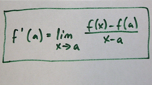
derivaatan_määritelmä.jpg Jaa Sulje Tämän kuvan tekstivastine: (tyhjä tekstivastine) derivaatan_määritelmä.jpg 174.7 kt