Aihe 7: Derivaatan numeerinen määrittäminen
Derivaatan numeerinen määrittäminen
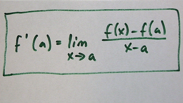
Muistatko 7. kurssissa olleen derivaatan määritelmän? "Funktion f(x) derivaatta kohdassa x = a on erotusosamäärän

raja-arvo, mikäli raja-arvo on olemassa."
Derivaatan määritelmä voidaan ilmoittaa myös käyttämällä "h lähestyy nollaa -muotoa".
Tutkitaan tällä kurssilla raja-arvon olemassaoloa numeerisesti sijoittamalla vaikkapa taulukkolaskentaohjelmassa erotusosamäärän lausekkeeseen arvoja tutkittavan kohdan x = a molemmilta puolilta ja katsotaan lähestyvätkö ne samaa arvoa. Tällä tavoin ei saada 100 % täyttä varmuutta derivaatan arvosta kohdassa x = a mutta kuitenkin jonkinlainen tulos lausekkeille, joiden derivointi on vaikeaa. Esim. kirjan Esim. 2 s. 122:


raja-arvo, mikäli raja-arvo on olemassa."
Derivaatan määritelmä voidaan ilmoittaa myös käyttämällä "h lähestyy nollaa -muotoa".
Tutkitaan tällä kurssilla raja-arvon olemassaoloa numeerisesti sijoittamalla vaikkapa taulukkolaskentaohjelmassa erotusosamäärän lausekkeeseen arvoja tutkittavan kohdan x = a molemmilta puolilta ja katsotaan lähestyvätkö ne samaa arvoa. Tällä tavoin ei saada 100 % täyttä varmuutta derivaatan arvosta kohdassa x = a mutta kuitenkin jonkinlainen tulos lausekkeille, joiden derivointi on vaikeaa. Esim. kirjan Esim. 2 s. 122:

Liitteet:
Linkkejä
Esimerkki Excelin käytöstä:
Esimerkki numeerisesta derivaatan määrittämisestä, Pyramidi teht. 605:
Esimerkki numeerisesta derivaatan määrittämisestä, Pyramidi teht. 605:
Kirjan tehtäviä
Suosittelen tekemään osan tehtävistä Excelillä. Voit palauttaa kaikki tehtävät samassa Excel-tiedostossa, vaikka eri välilehdillä. Kirjoita kuitenkin jokaisen ratkaisutaulukon yläpuolelle olevaan soluun tehtävän numero.
Teht:
Teht: