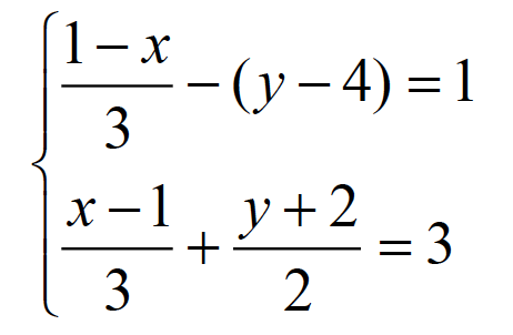
Tehtävä 23 Jaa Sulje Tämän kuvan tekstivastine: (tyhjä tekstivastine) Skärmavbild 2018-12-04 kl. 18.29.36.png 17.6 kt Kommentit Kirjaudu sisään lisätäksesi tähän kommentin
Kommentit
Kirjaudu sisään lisätäksesi tähän kommentin