Peda.net
Kirjaudu
Rekisteröidy
Qatar-Finland International School
Peda.net
>
Qatar-Finland International School
>
2022-2023
>
Mathematics
>
Maths Grade 9
>
12. Solving a pair of equations by calculating
>
Images
>
Images for the exercises
>
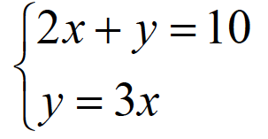
Exercise 12.3a
Exercise 12.3a
Jaa
Sulje
Tämän kuvan tekstivastine: (tyhjä tekstivastine)
Tehtävä 3a.png 12.1 kt
Qatar-Finland International School
2022-2023
Biology
Geography
Mathematics
Math 7
Math 8
Math 9
Maths Grade 7
Maths Grade 8
Maths Grade 9
10. The Pythagorean theorem
11. Applications of the Pythagorean theorem
Part II: Trigonometry and geometry
12. Solving a pair of equations by calculating
Images
13. Solving a pair of equations graphically
14. Applications of equation pairs
15. The tangent angle of a circle
16. The inscribed and central angles of a circle
Part III: Revision and applications
Chemistry
Physics
Archieve