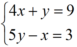
Jakaminen Sulje Exercise 12.1b Pysyvä osoite https://peda.net/id/28fc96322cf Pysyvä tiedoston latausosoite https://peda.net/id/28fc96322cf:file/download/843420ffcccc2bfda3ab6f29d0332795dfb56498/Tehta%CC%88va%CC%88%201b.png Jakaminen muihin palveluihin Share this page to Facebook QR-koodi