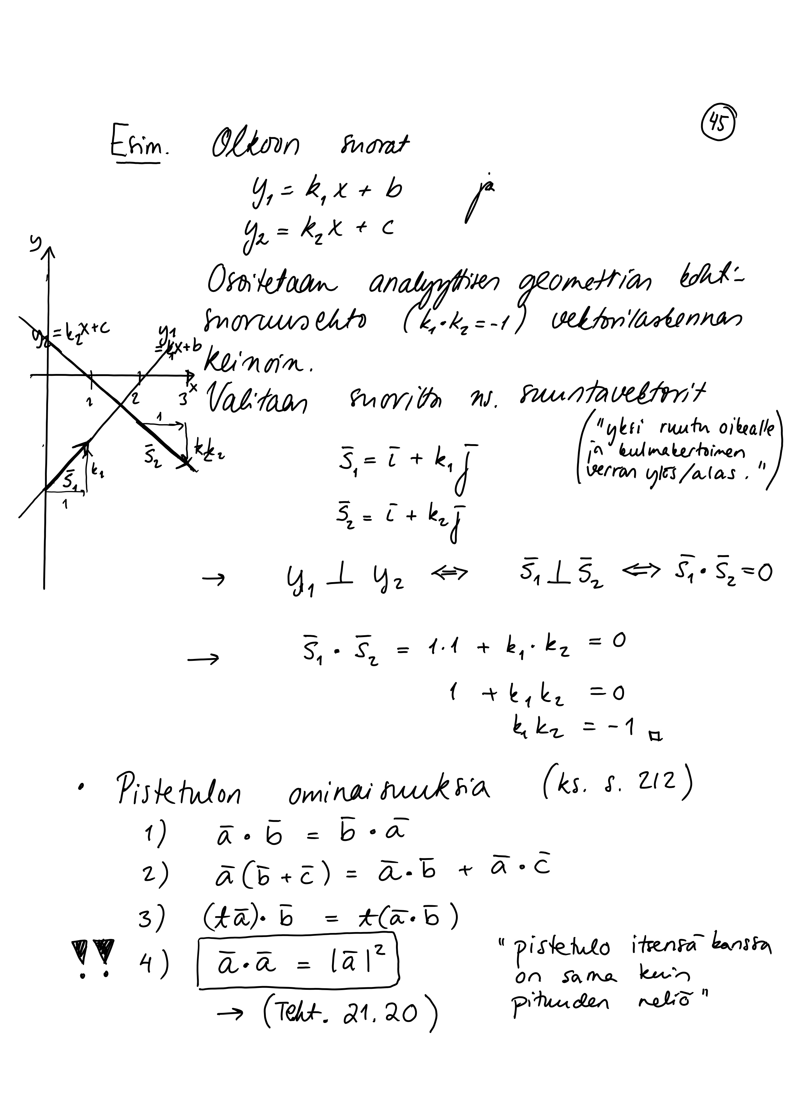
Jakaminen Sulje 45_maa4.jpeg Pysyvä osoite https://peda.net/id/6dc0ba58cea Pysyvä tiedoston latausosoite https://peda.net/id/6dc0ba58cea:file/download/92ef6d0856c6519bb762d659f87eb03309a8c785/5515FAE6-040C-4E49-96CD-AC61F145DACE.jpeg Jakaminen muihin palveluihin Share this page to Facebook QR-koodi