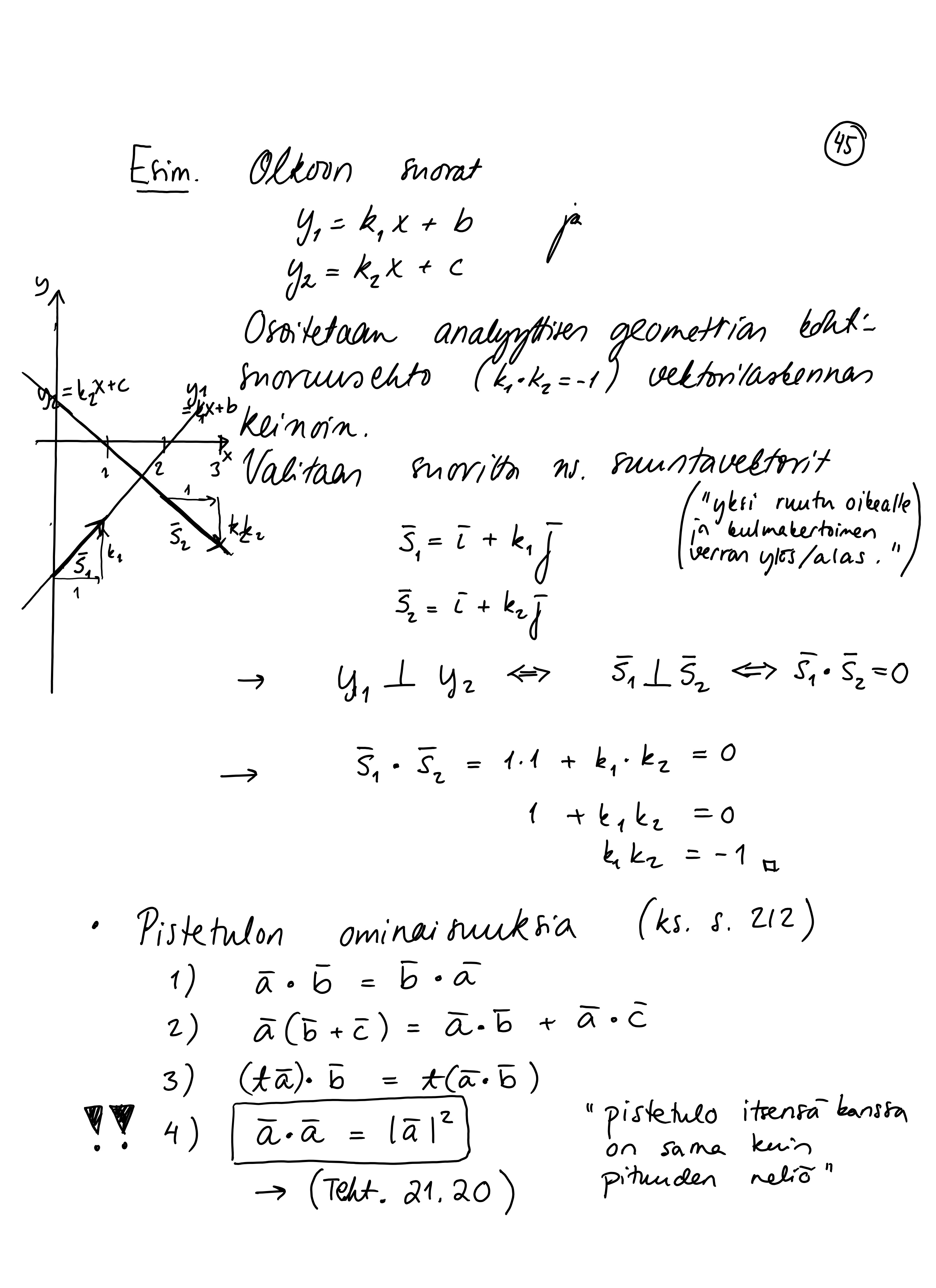
45_maa4.jpeg Jaa Sulje Tämän kuvan tekstivastine: (tyhjä tekstivastine) 5515FAE6-040C-4E49-96CD-AC61F145DACE.jpeg 789.2 kt