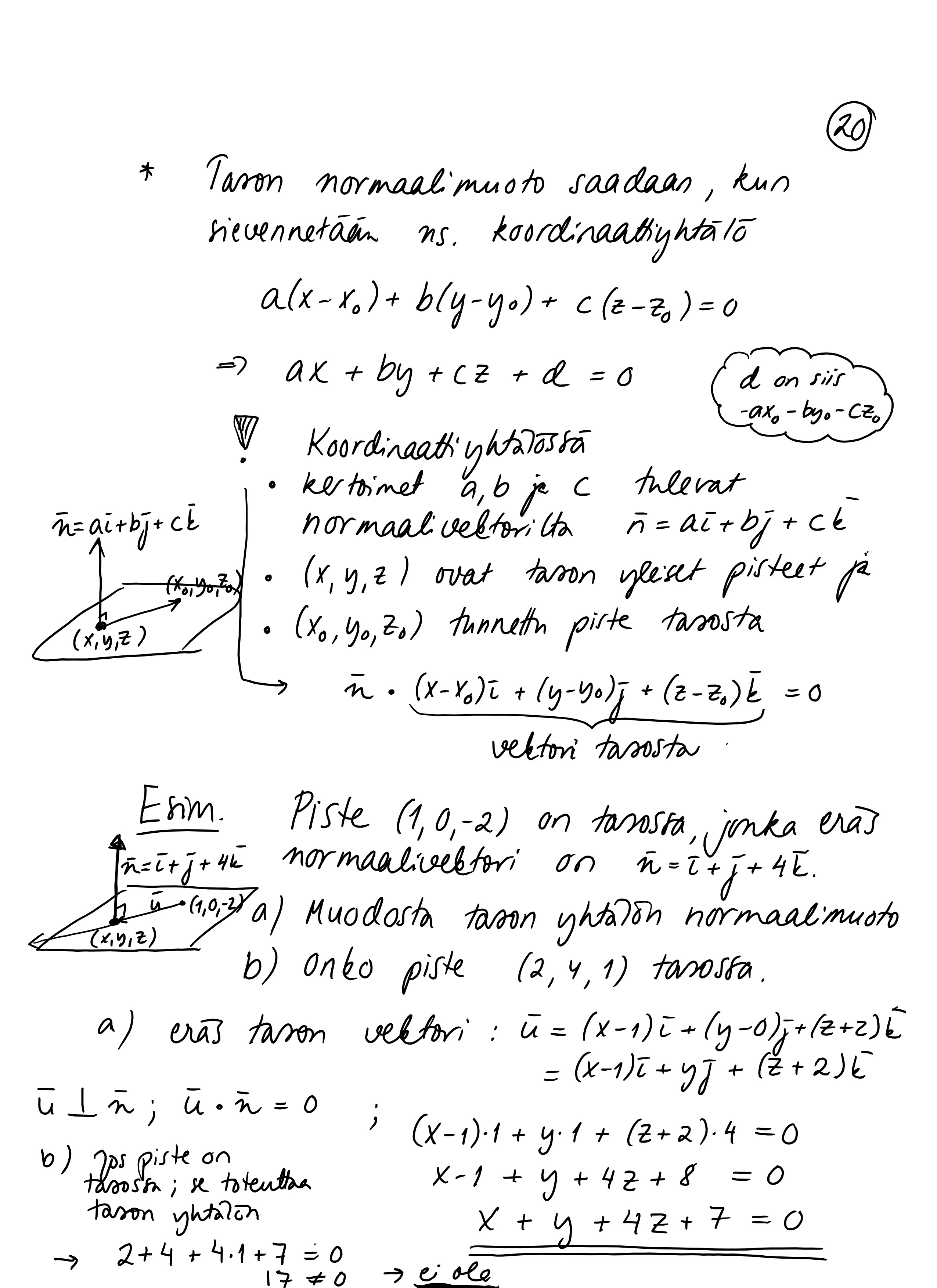
Jakaminen Sulje 20_maa10.jpeg Pysyvä osoite https://peda.net/id/2b580336e80 Pysyvä tiedoston latausosoite https://peda.net/id/2b580336e80:file/download/ebc69d11b6fd2349dbf07d8aa1e0f3f2075e2bd7/5E5D9E33-351B-48C8-BD25-29B7BEC2E285.jpeg Jakaminen muihin palveluihin Share this page to Facebook QR-koodi