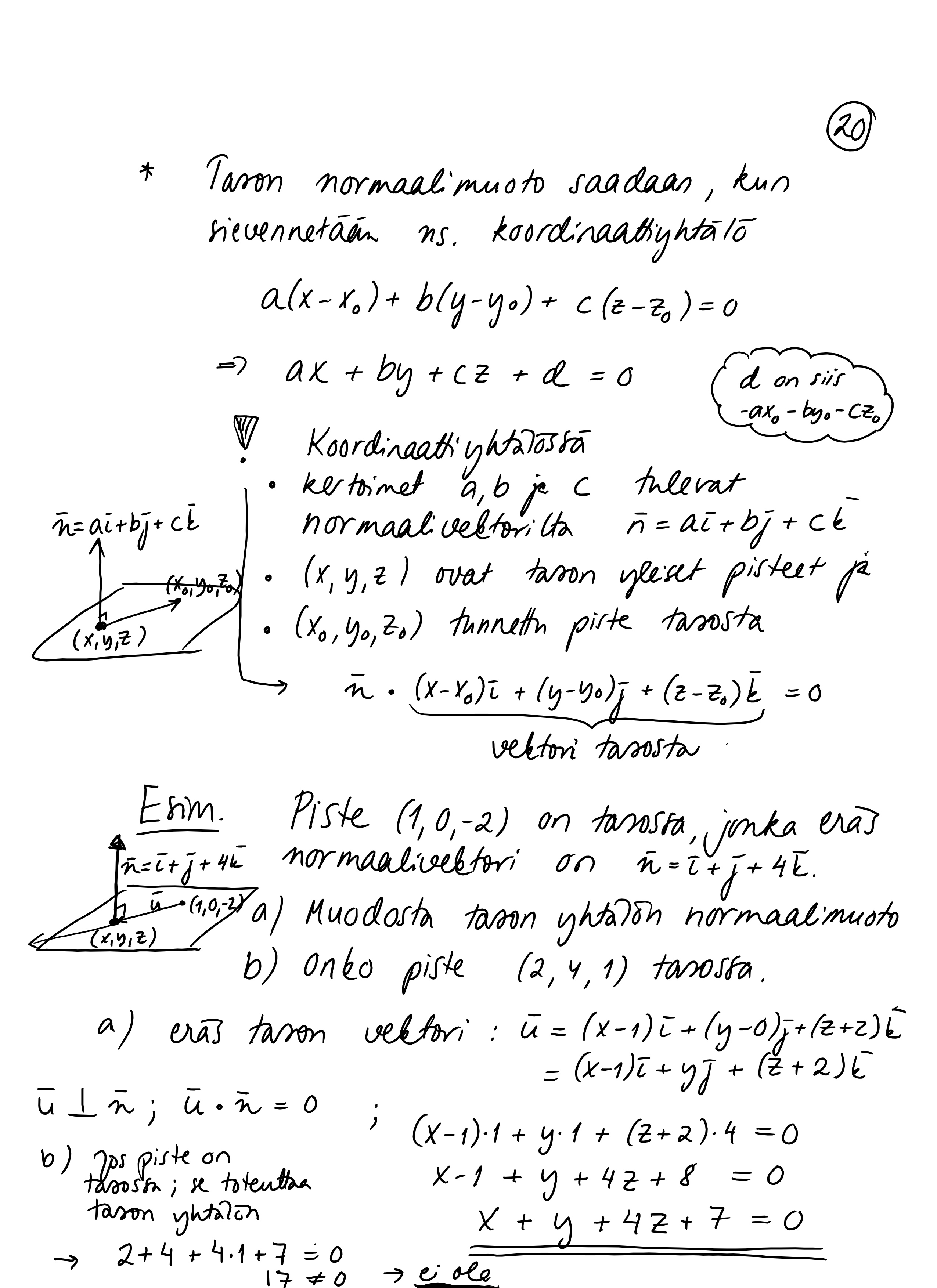
20_maa10.jpeg Jaa Sulje Tämän kuvan tekstivastine: (tyhjä tekstivastine) 5E5D9E33-351B-48C8-BD25-29B7BEC2E285.jpeg 1 Mt