Peda.net
Kirjaudu
Rekisteröidy
Riikka Kuusiniemi
Peda.net
>
Käyttäjät
>
Riikka Kuusiniemi
>
Matematiikka
>
Kirjainlaskentaa, osa 1
>
Polynomit
>
Monomin ja polynomin tulo
Monomin ja polynomin tulo
Jaa
Monomin ja polynomin tulo
Riikka Kuusiniemi
Sivut
Matematiikka
Luvut ja laskutoimitukset
Luvuista kirjaimiin
Pisteistä kuvioita ja kappaleita
Prosenttilaskentaa
Tilastot ja todennäköisyys
Kirjainlaskentaa, osa 1
Potenssit
Polynomit
Monomien summa ja erotus
Polynomi
Polynomien summa ja erotus
Monomien tulo
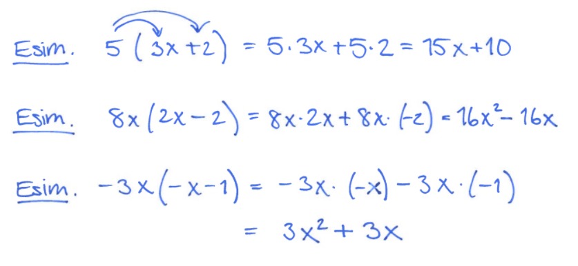
Monomin ja polynomin tulo
Polynomin ja polynomin tulo
Yhtälöitä
Ympyröitä
Kolmioita
Suoria, riippuvuus ja yhtälöparit
Yhdenmuotoisuus, mittakaava ja trigonometriaa
Kirjainlaskentaa, osa 2
Avaruusgeometriaa
Kertausta ja syventämistä
Kemia 7. ja 8. luokka
Fysiikka 7. ja 9. luokka