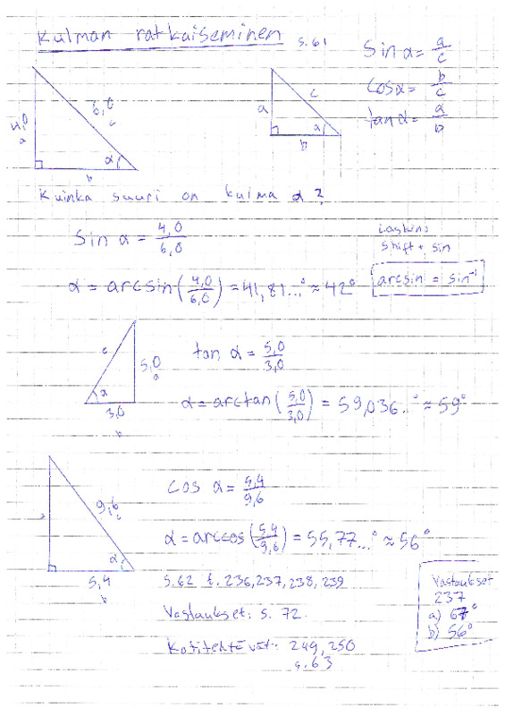
Kulman ratkaiseminen Jaa Sulje Tämän tiedoston tekstivastine: (tyhjä tekstivastine) Kulman ratkaiseminen 645.3 kt