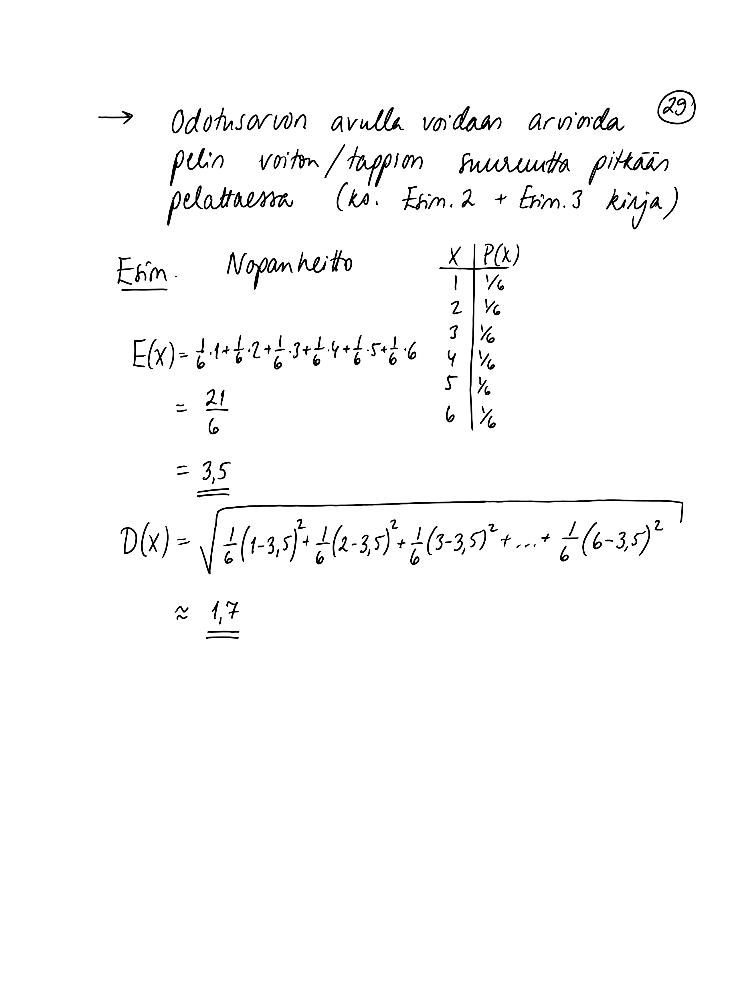
29_maa8.jpeg Jaa Sulje Tämän kuvan tekstivastine: (tyhjä tekstivastine) D7D513E0-3353-4045-872F-B5CDD3A312B2.jpeg 480.4 kt