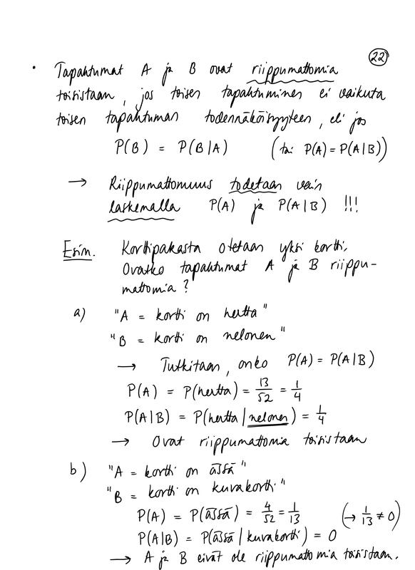
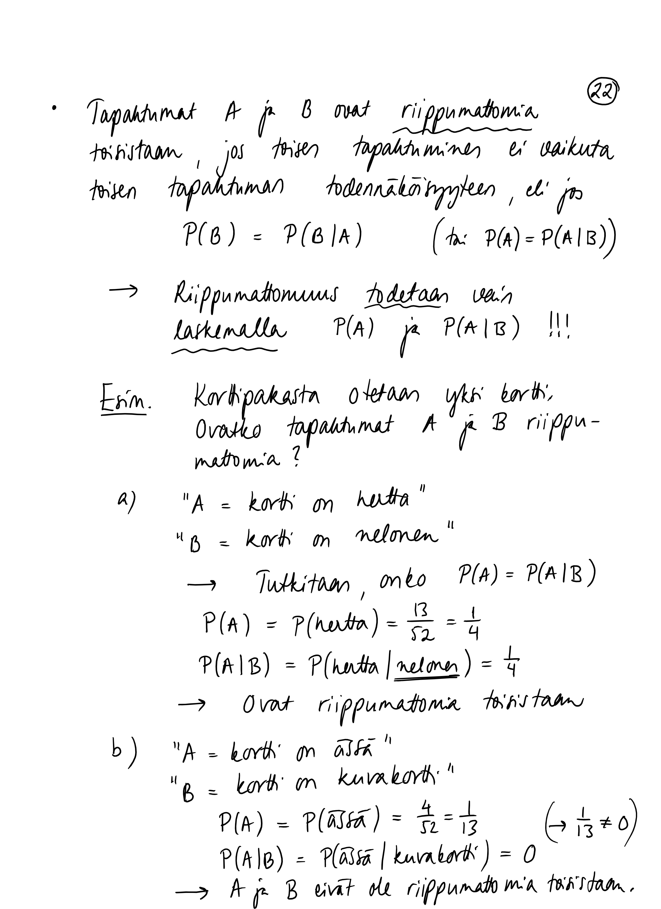
22_maa8.jpeg Jaa Sulje Tämän kuvan tekstivastine: (tyhjä tekstivastine) 8C3C4909-5C16-4C16-9D3F-31C1D36EC1C1.jpeg 900.3 kt