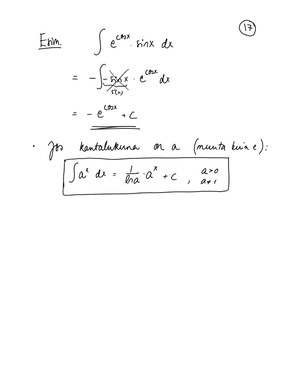
17_maa7.jpeg Jaa Sulje Tämän kuvan tekstivastine: (tyhjä tekstivastine) 6E539FB6-410C-4ED3-9AA1-F2CAADD72598.jpeg 327.6 kt