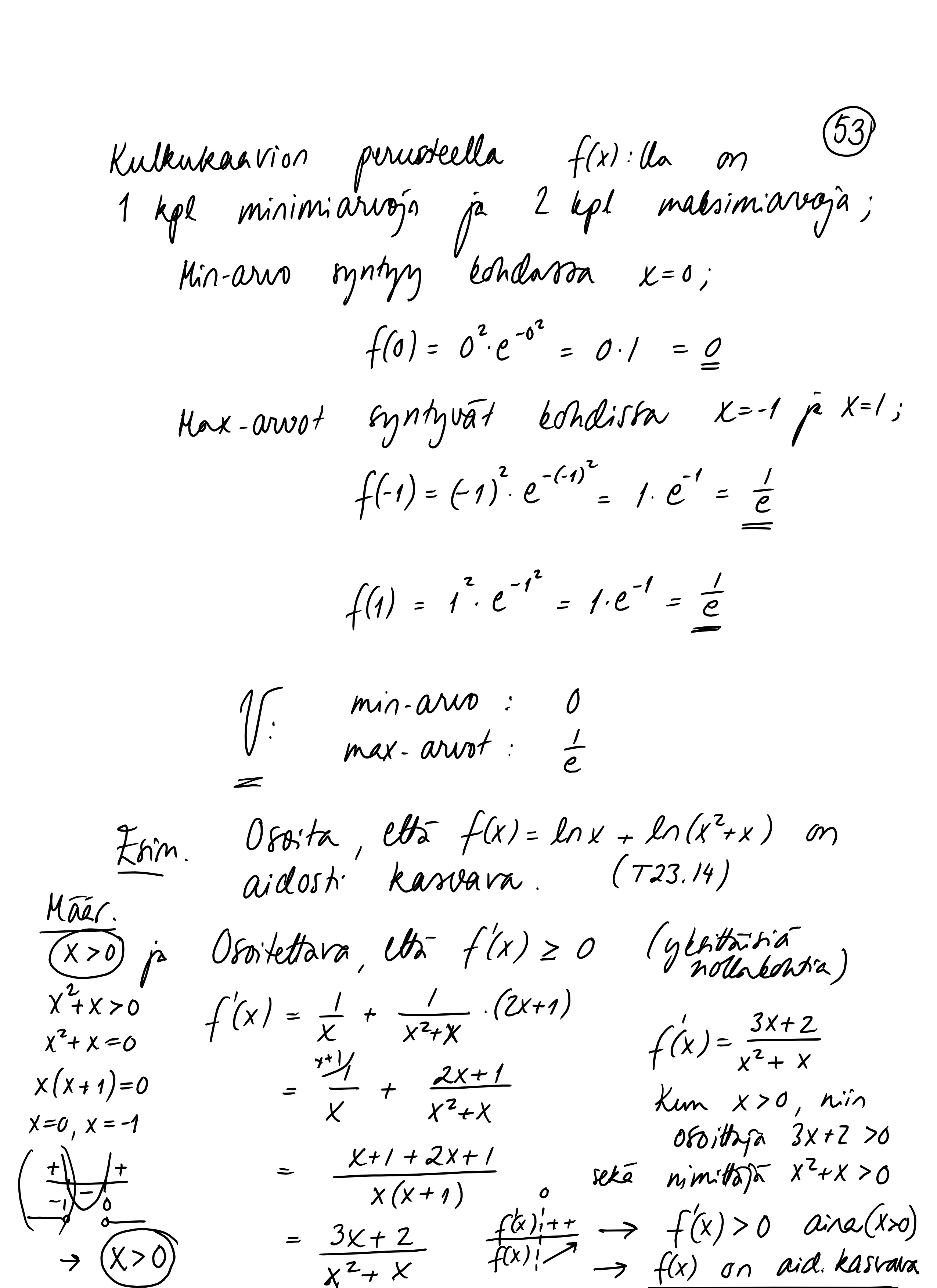
53_maa6.jpeg Jaa Sulje Tämän kuvan tekstivastine: (tyhjä tekstivastine) 9661E28C-A463-4B69-932B-5CCB5DB86379.jpeg 887.9 kt