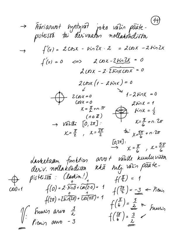
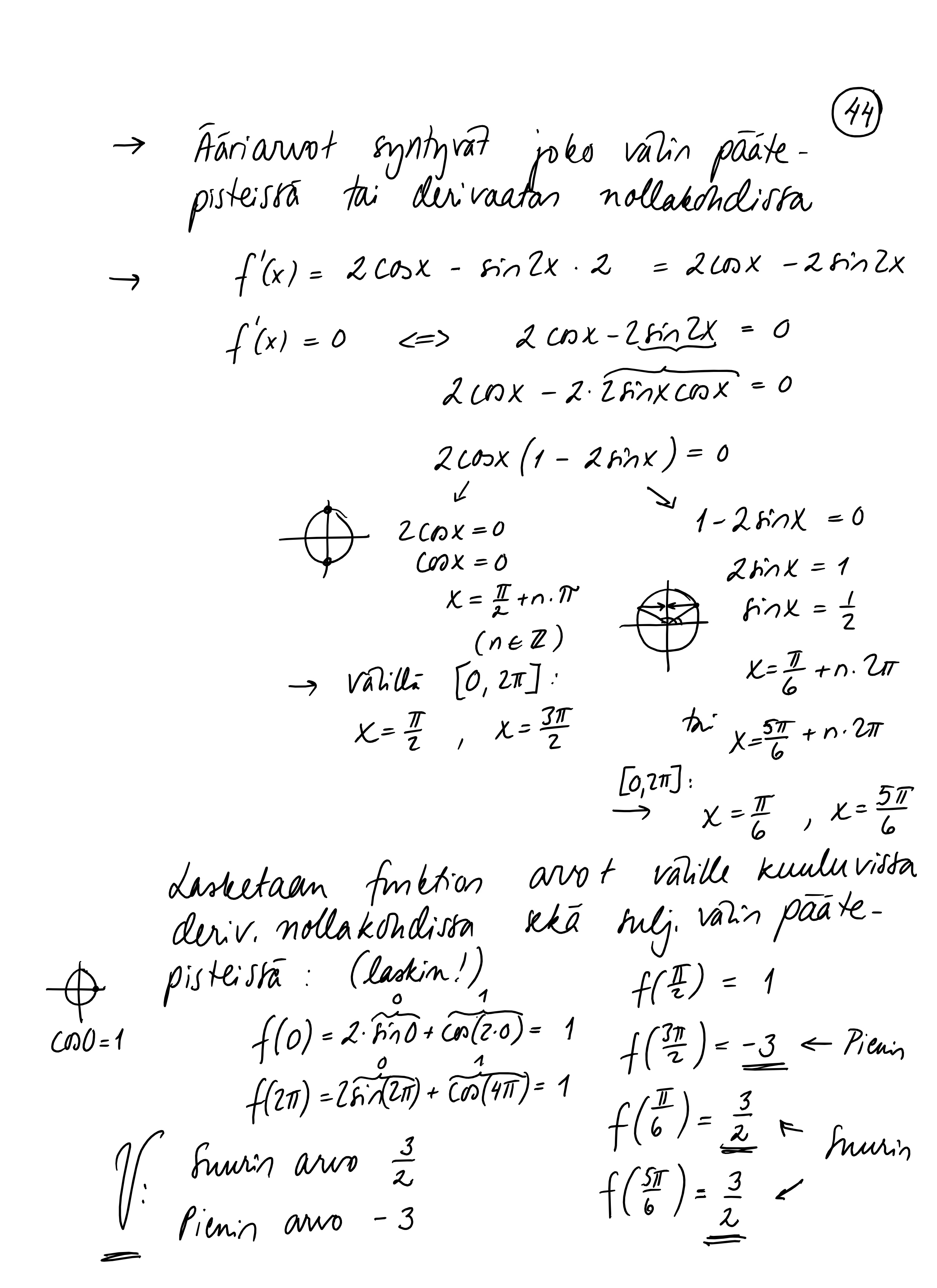
44_maa6.jpeg Jaa Sulje Tämän kuvan tekstivastine: (tyhjä tekstivastine) 6048816A-2B20-4A5A-B710-1A6FF7131E43.jpeg 877.7 kt