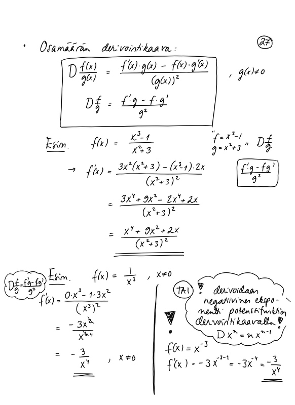
27_maa6.jpeg Jaa Sulje Tämän kuvan tekstivastine: (tyhjä tekstivastine) 83D62E35-220E-4F46-A82F-00D7F43D947B.jpeg 734.2 kt