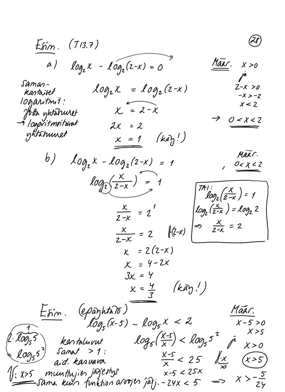
28_maa5.jpeg Jaa Sulje Tämän kuvan tekstivastine: (tyhjä tekstivastine) C5EB633A-BD46-4325-B6A6-779BA4DB276D.jpeg 877.4 kt