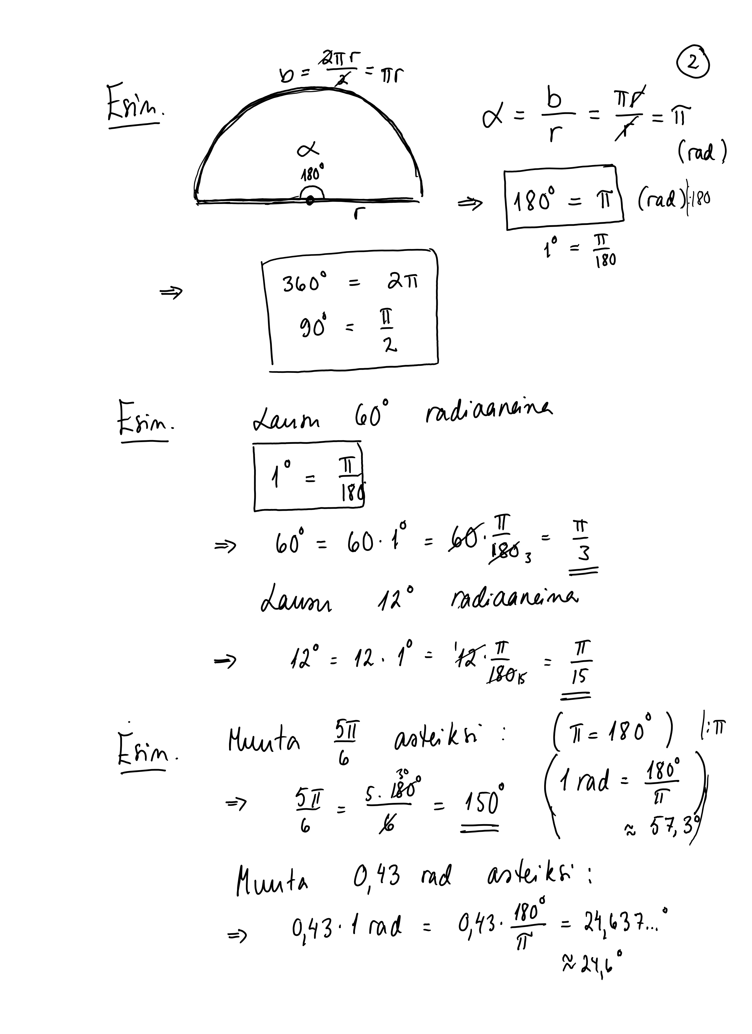
Jakaminen Sulje 2_maa5.jpeg Pysyvä osoite https://peda.net/id/13f0efb41a3 Pysyvä tiedoston latausosoite https://peda.net/id/13f0efb41a3:file/download/9b327114891fb4133f6d1582e290e9a7d6597fdf/363F65E0-2F4B-443F-8FA0-28CF54FD3B1F.jpeg Jakaminen muihin palveluihin Share this page to Facebook QR-koodi