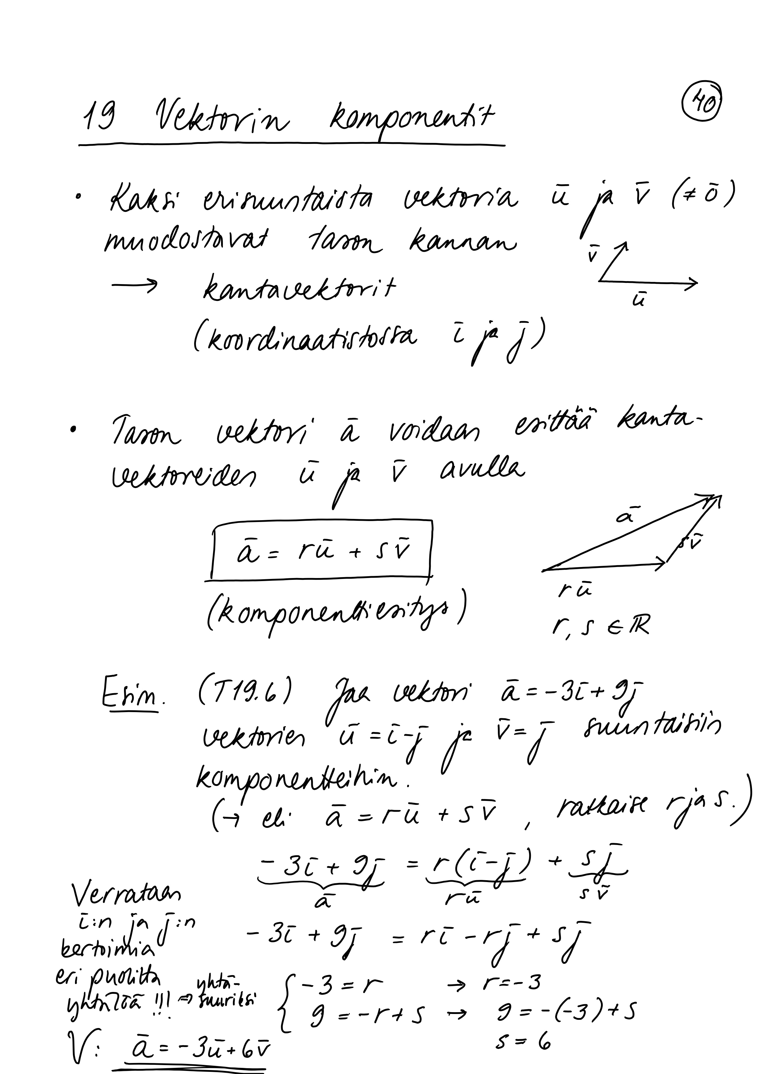
Jakaminen Sulje 40_maa4.jpeg Pysyvä osoite https://peda.net/id/c5ffffeace9 Pysyvä tiedoston latausosoite https://peda.net/id/c5ffffeace9:file/download/05caacfe07787a404af37626929c6f35f21e2d0e/AD648EE3-0DE1-47BB-9447-D107C9184624.jpeg Jakaminen muihin palveluihin Share this page to Facebook QR-koodi