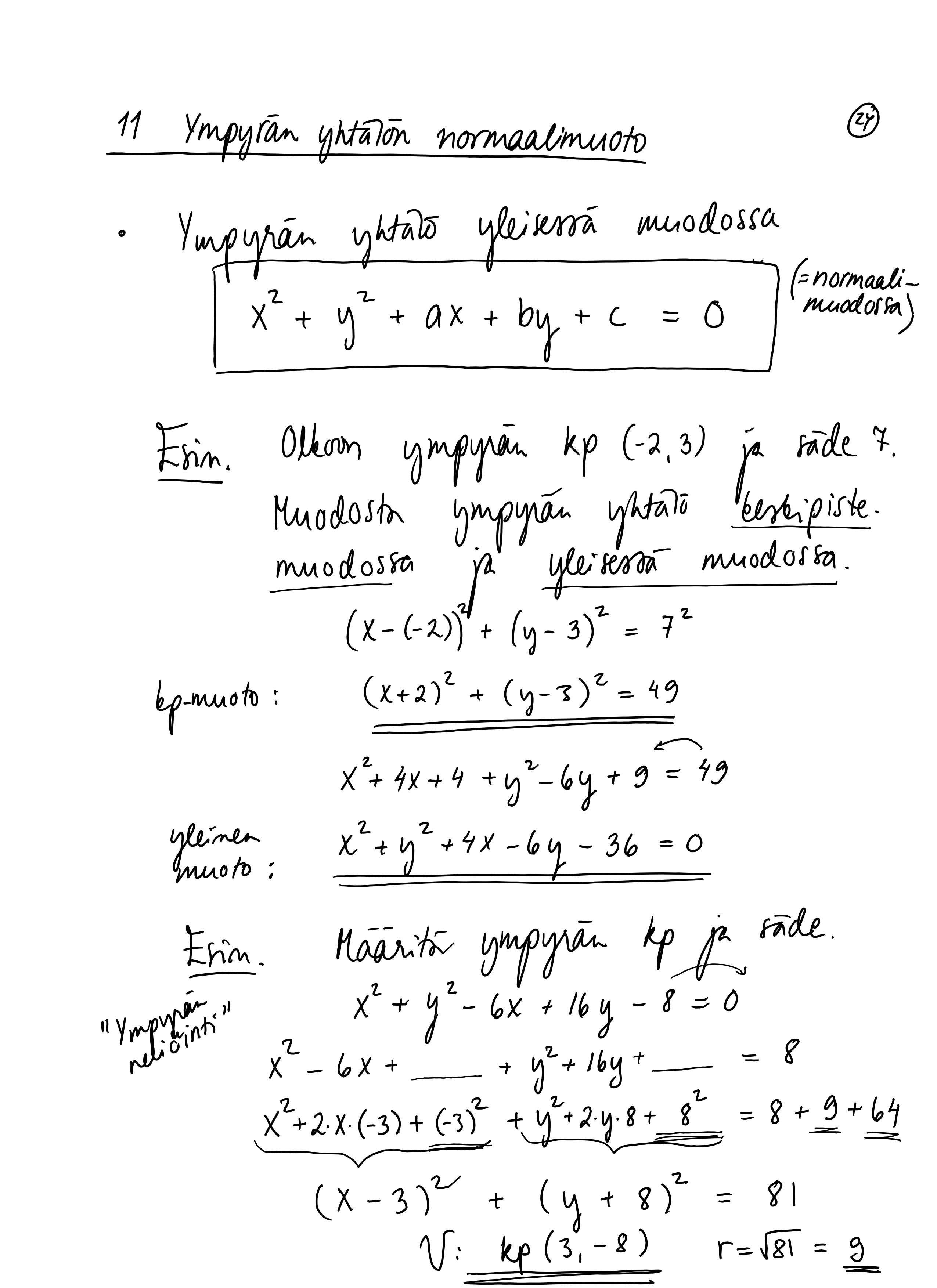
Jakaminen Sulje 24_maa4.jpeg Pysyvä osoite https://peda.net/id/8f8cec9ebef Pysyvä tiedoston latausosoite https://peda.net/id/8f8cec9ebef:file/download/d94425bcbde73aba45176a7a6e08a49be84dfbcf/7A814442-62CE-47DB-9364-E80490EA45F4.jpeg Jakaminen muihin palveluihin Share this page to Facebook QR-koodi