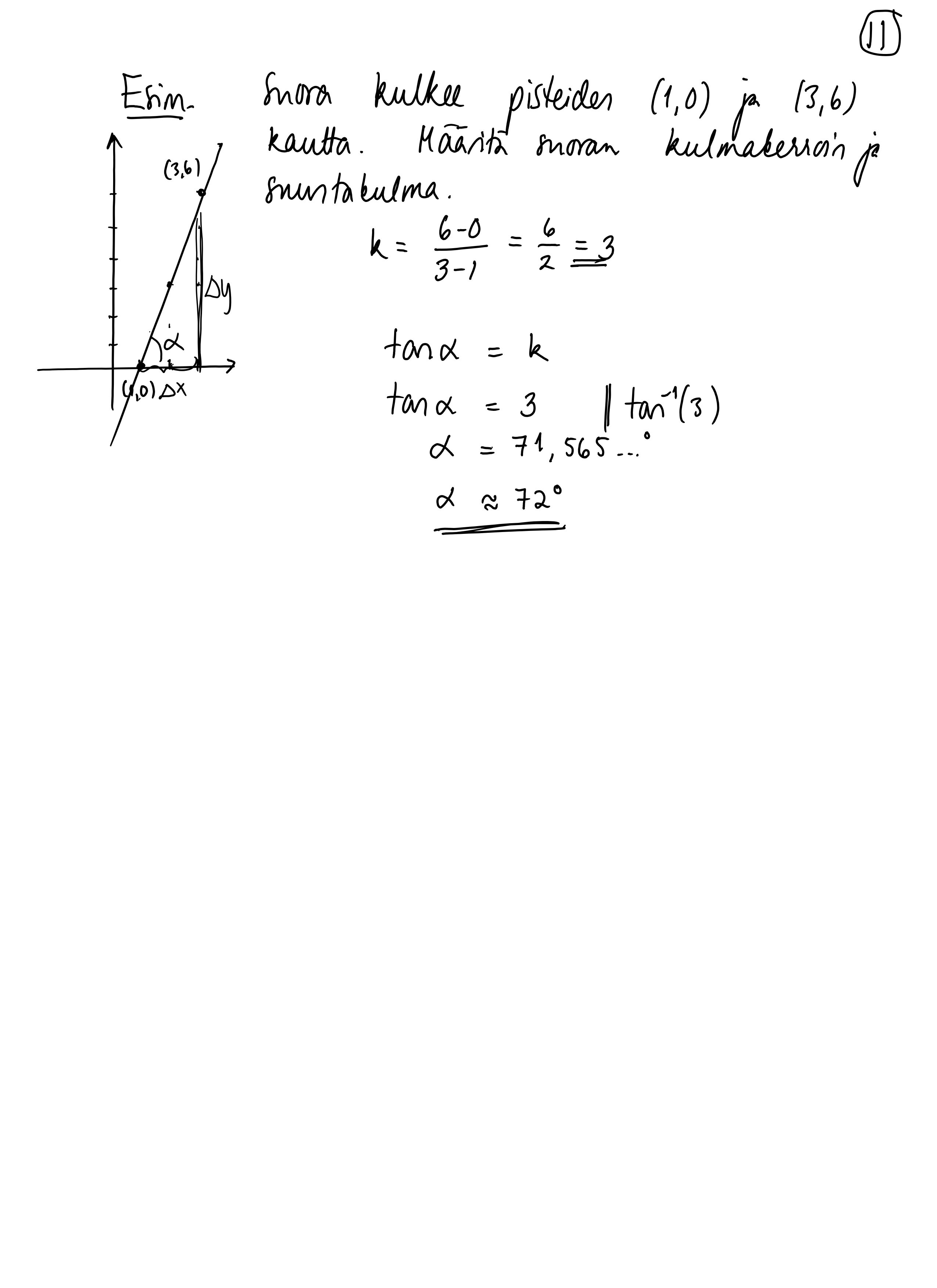
Jakaminen Sulje 11_maa4.jpeg Pysyvä osoite https://peda.net/id/69dd09eaacf Pysyvä tiedoston latausosoite https://peda.net/id/69dd09eaacf:file/download/36ed6357ac41324733a41a0c3c336512c49ff183/69D04B82-736F-43A9-9B17-5490751CEDA2.jpeg Jakaminen muihin palveluihin Share this page to Facebook QR-koodi