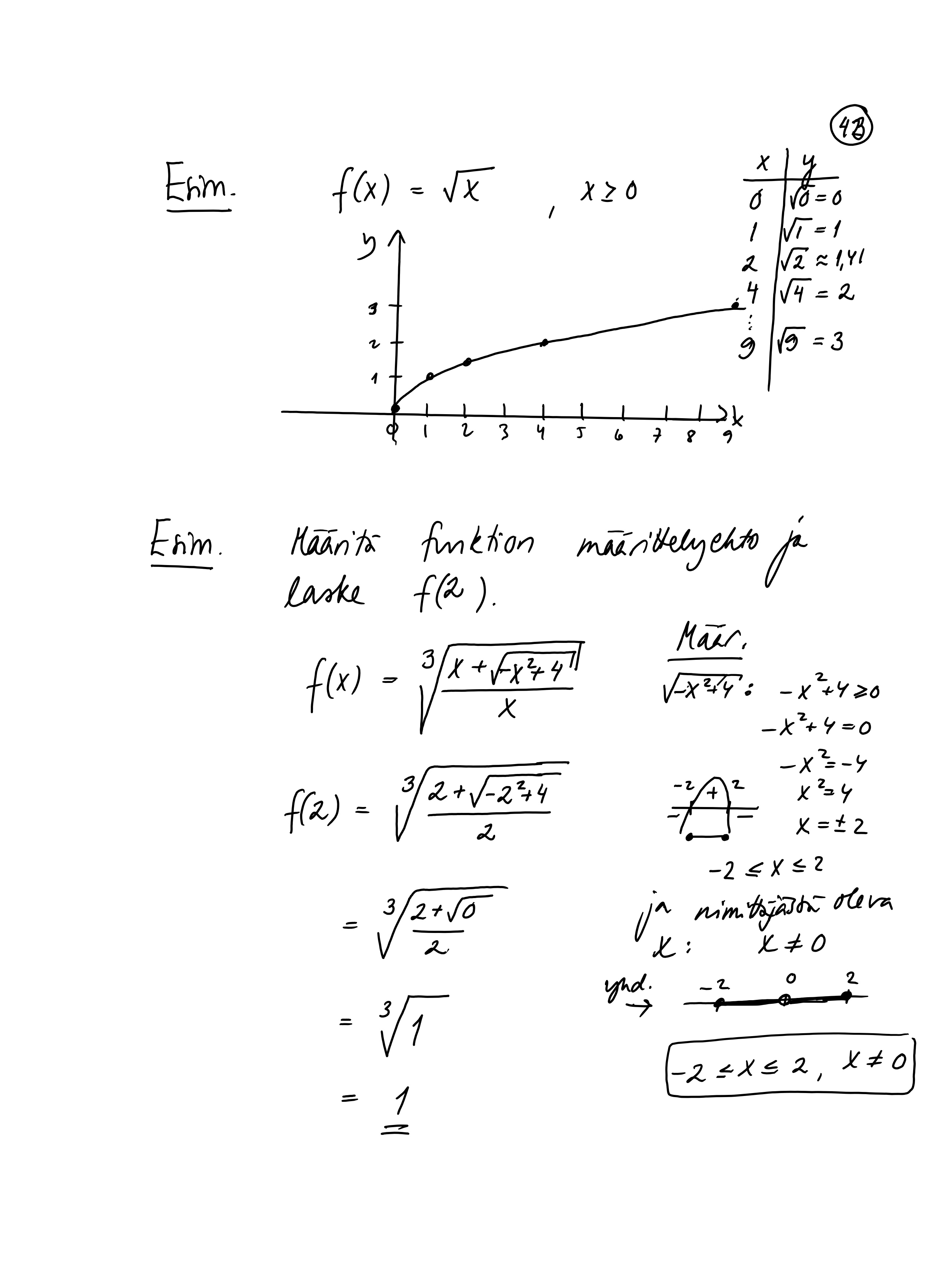
Jakaminen Sulje 43_maa2.jpeg Pysyvä osoite https://peda.net/id/cea38b245d0 Pysyvä tiedoston latausosoite https://peda.net/id/cea38b245d0:file/download/37e55ac5b37e248604a2c109248fe40396b27c16/D6CD60BE-907B-4060-9DB5-FE44D7E691F4.jpeg Jakaminen muihin palveluihin Share this page to Facebook QR-koodi