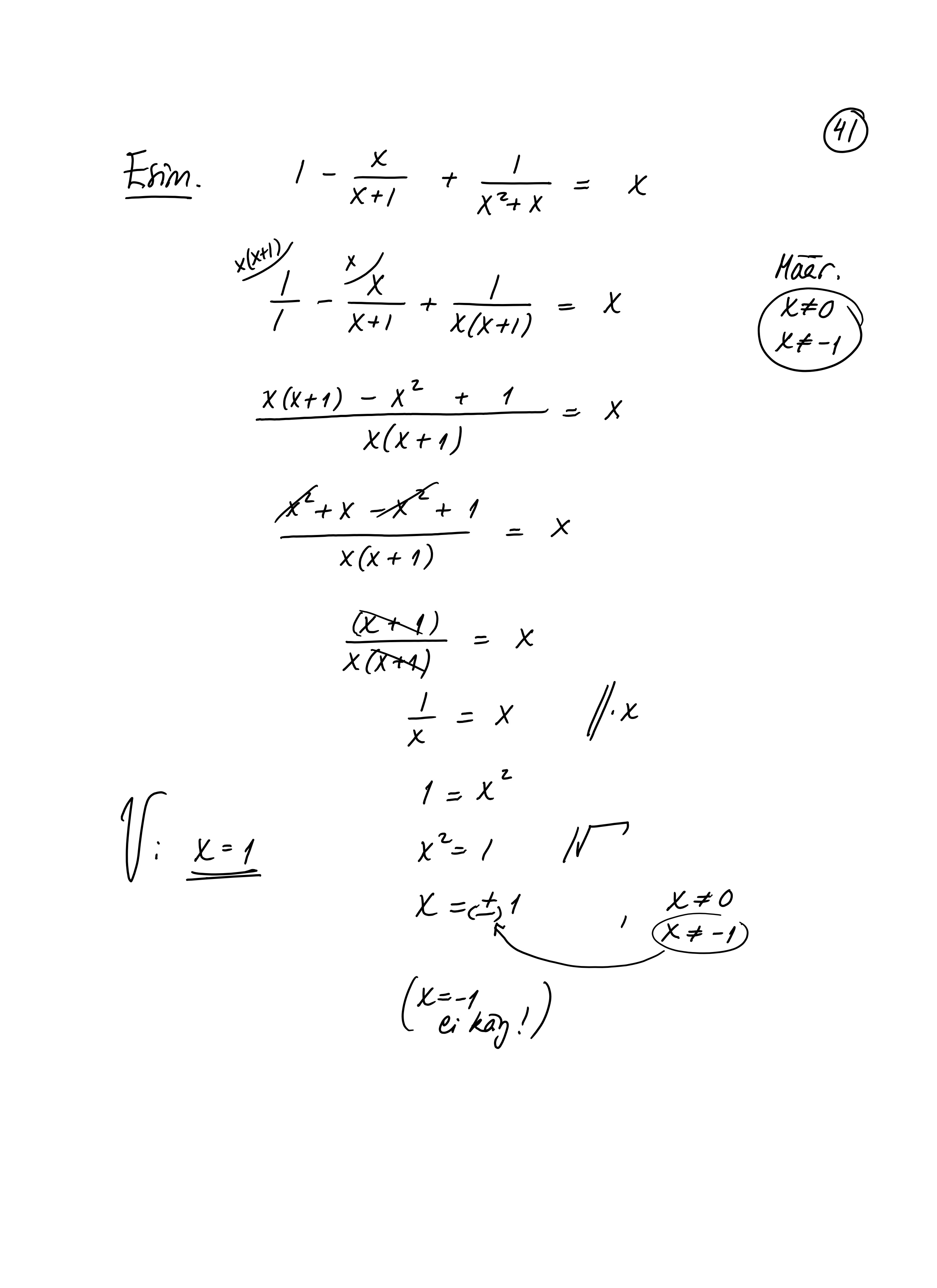
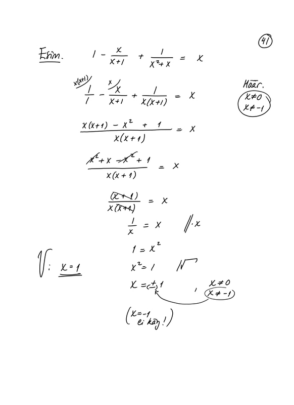
41_maa2.jpeg Jaa Sulje Tämän kuvan tekstivastine: (tyhjä tekstivastine) 6B81C9E8-D908-4D04-9974-43FB0C97A6CC.jpeg 384.5 kt