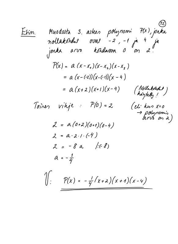
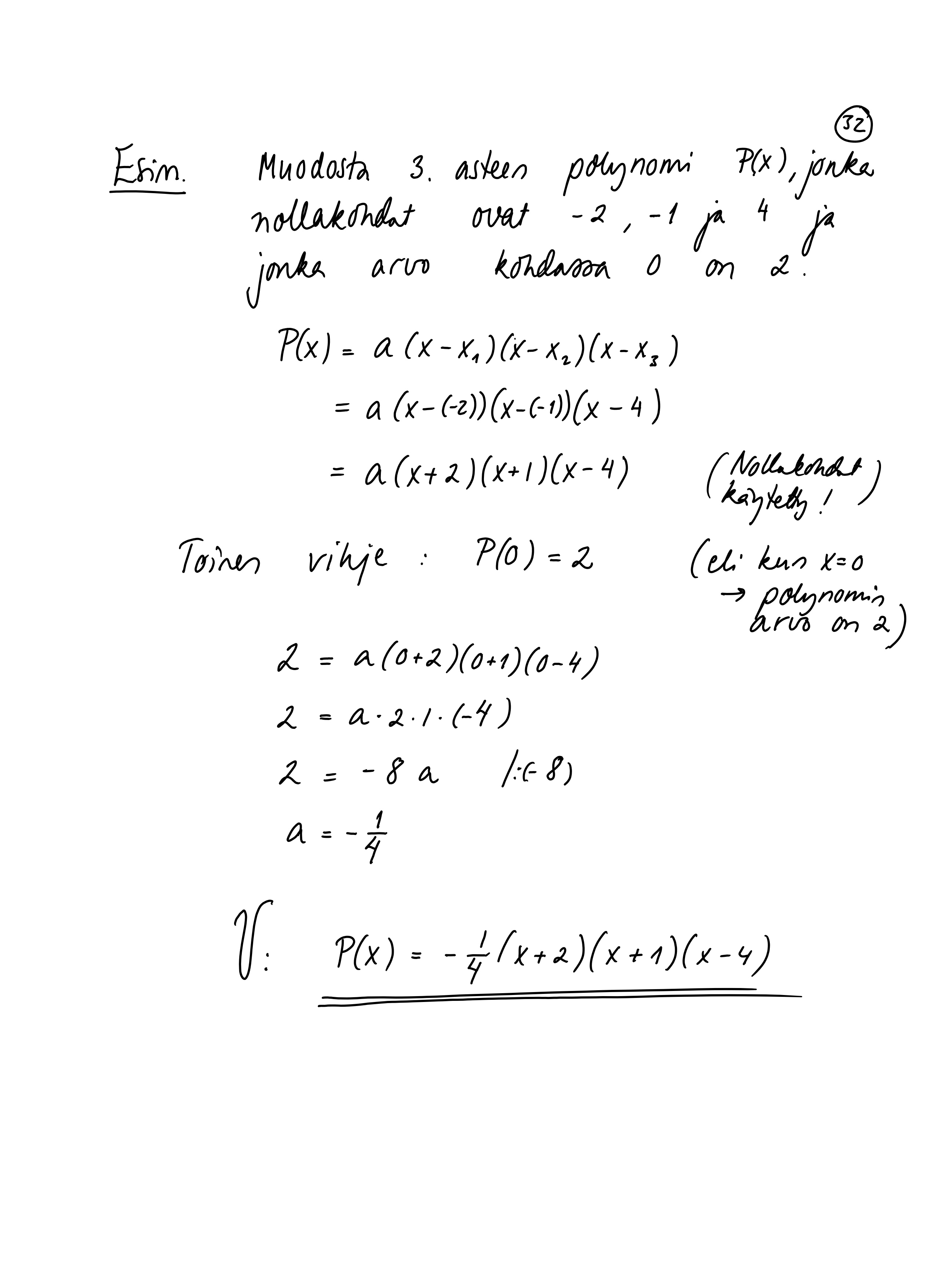
33_maa2.jpeg Jaa Sulje Tämän kuvan tekstivastine: (tyhjä tekstivastine) FF2EC5E5-EB80-43B7-A4EE-B29BCC4388E0.jpeg 533.5 kt