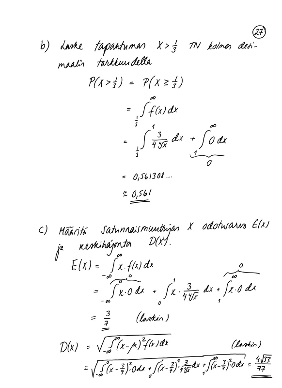
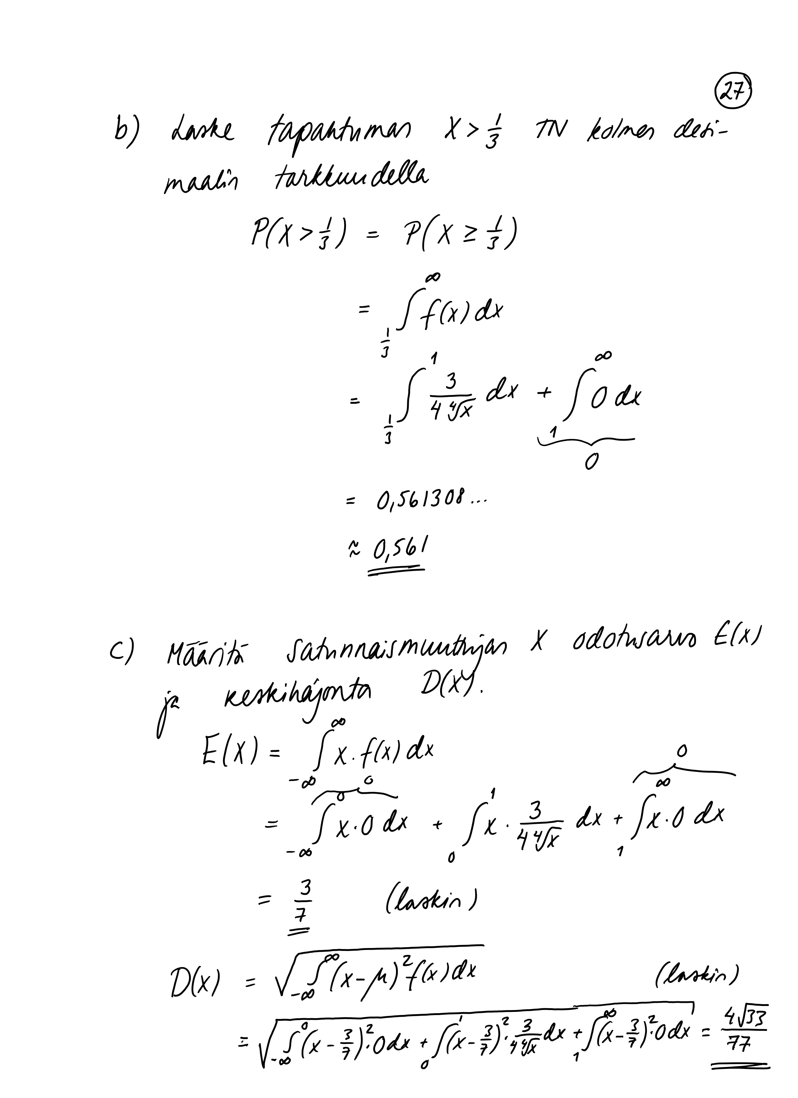
27_maa12.jpeg Jaa Sulje Tämän kuvan tekstivastine: (tyhjä tekstivastine) 168699E3-4CAD-4A14-B5EE-655F8BF235A7.jpeg 625.2 kt