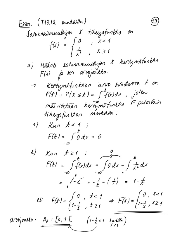
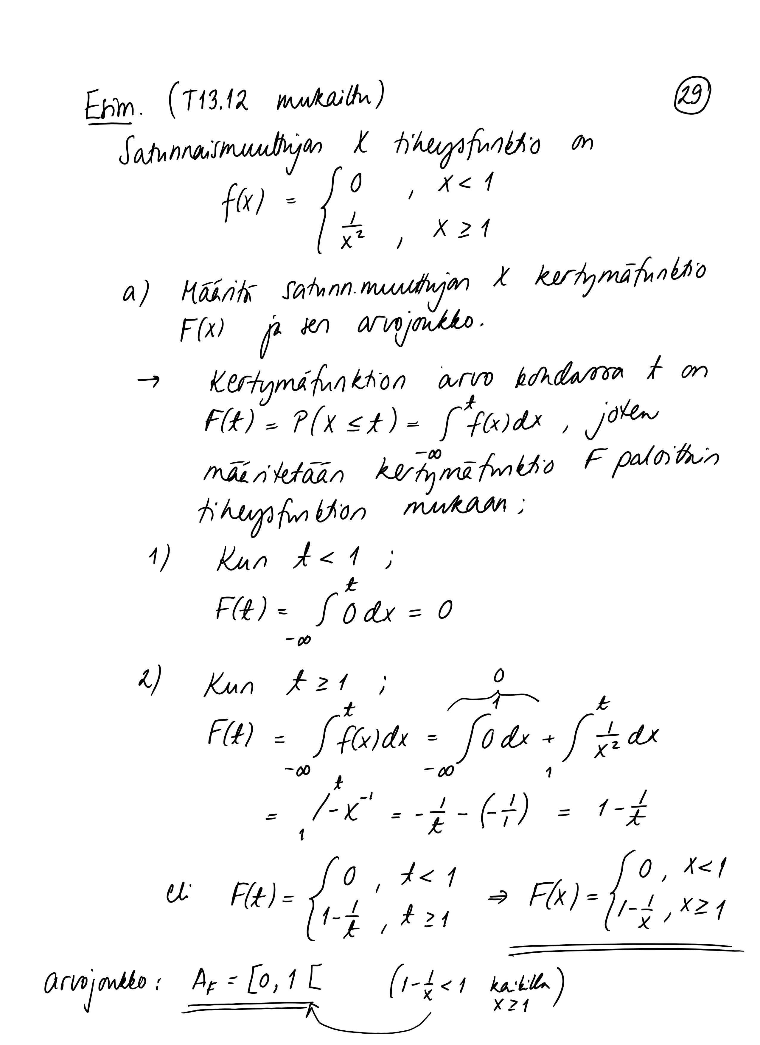
29_maa12.jpeg Jaa Sulje Tämän kuvan tekstivastine: (tyhjä tekstivastine) 80C95FD5-98E0-4DD4-AD1C-6CEBDEA36C15.jpeg 756.7 kt