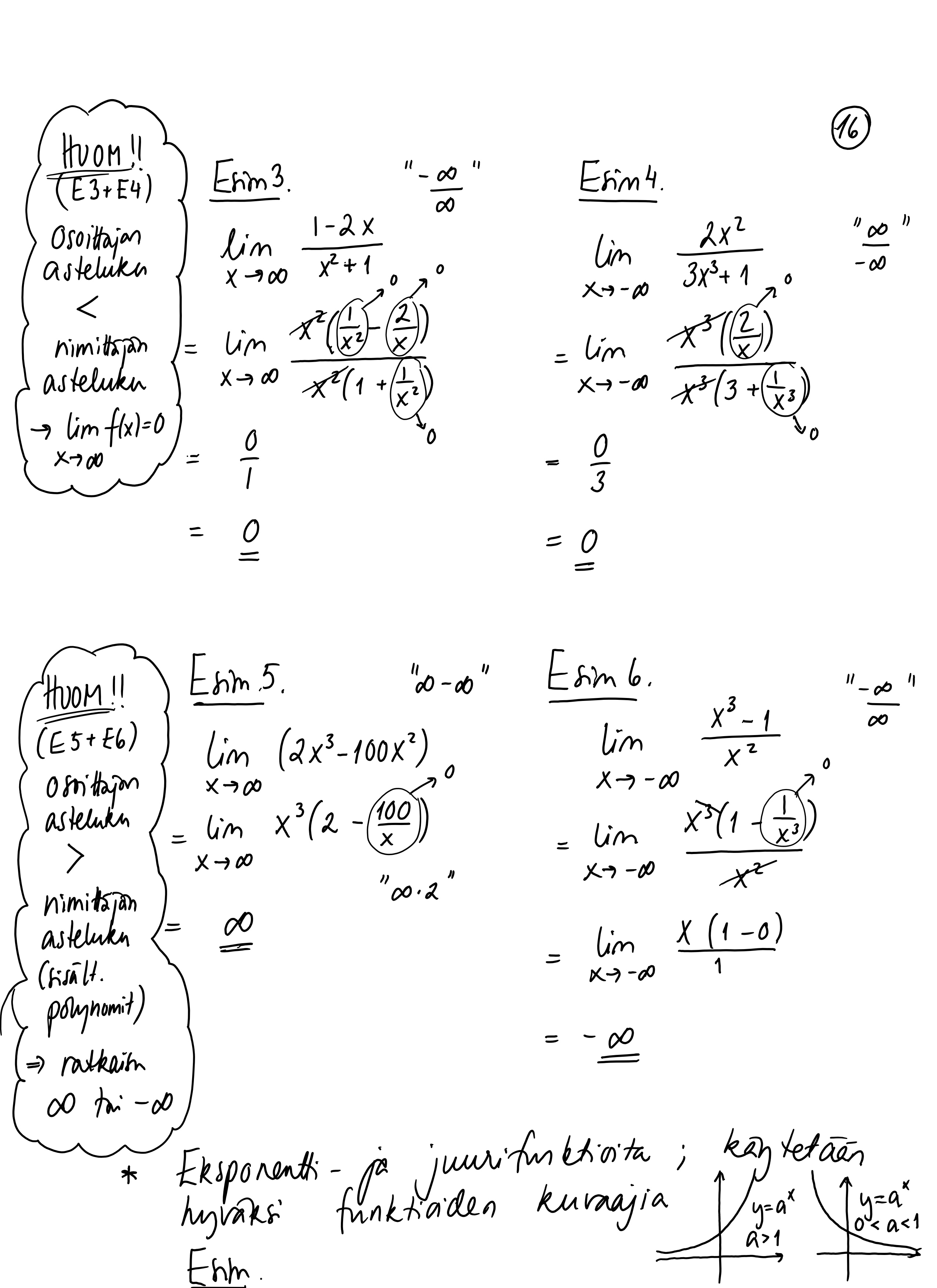
16_maa12.jpeg Jaa Sulje Tämän kuvan tekstivastine: (tyhjä tekstivastine) 2B41A683-5FFD-4764-84B9-5BF986D347EE.jpeg 872.3 kt