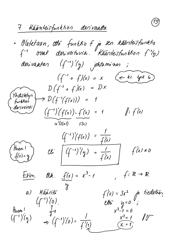
13_maa12.jpeg Jaa Sulje Tämän kuvan tekstivastine: (tyhjä tekstivastine) F3A3FC84-E5AB-48A4-BE1B-0885D3226C7A.jpeg 822.2 kt