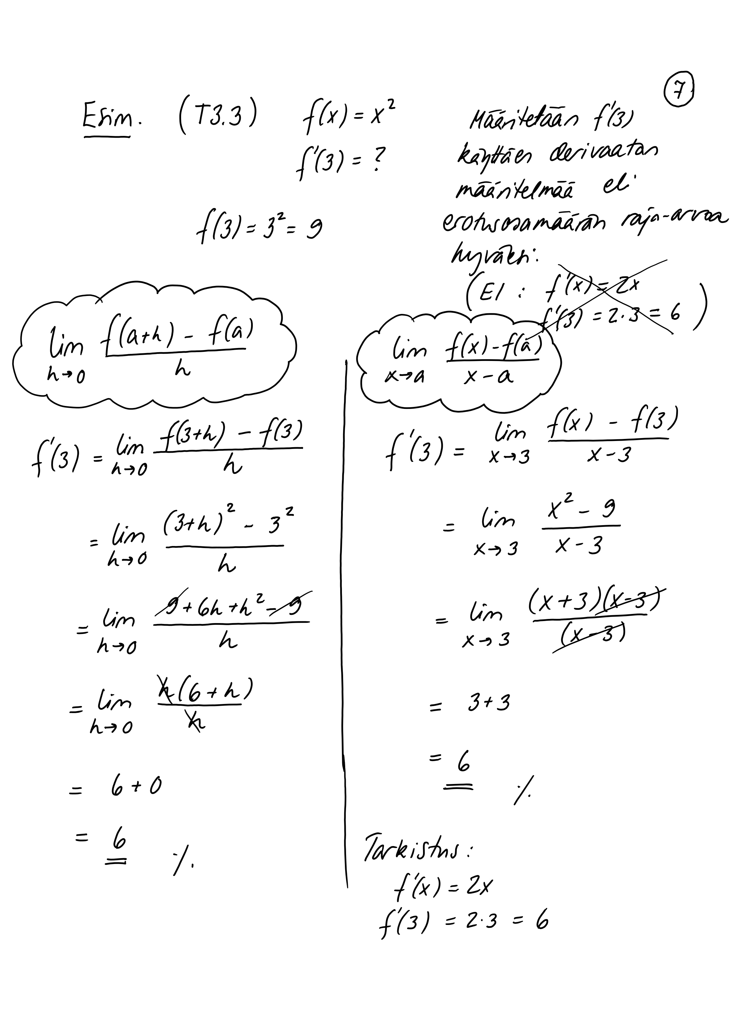
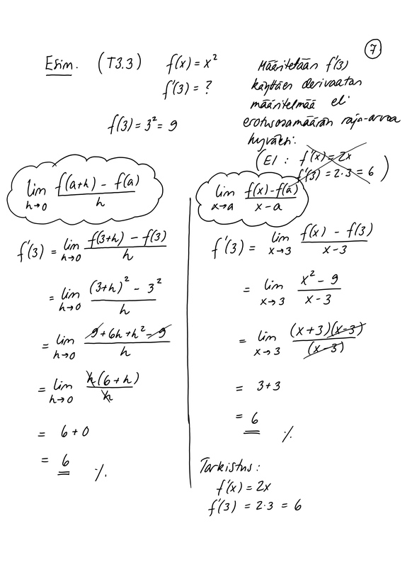
7_maa12.jpeg Jaa Sulje Tämän kuvan tekstivastine: (tyhjä tekstivastine) 4A24D427-5E63-40A6-86A3-960060C84094.jpeg 704 kt